实验报告
学生:姜涵育     学号: U202480034      院系:纳米材料与技术(双培)    批阅时间: 2026-4-14 17:02

批阅完成
最后得分:4.375

实验目的和仪器

0.4分

实验原理

1.5分

实验步骤

1分

数据处理

1.实验的已知数据

(1)油的密度:ρ=(1){kg/{m}^{3}}

(2)空气的密度:σ=(2){kg/{m}^{3}}

(3)空气粘滞系数:η=(3)\times {10}^{-5}{kg/\left ( {m\cdot s} \right )}

(4)北京地区重力加速度:g=(4){m/{s}^{2}}

(5)修正常数:b=(5)\times {10}^{-3}Pa\cdot m

(6)大气压强:p=(6)\times {10}^{5}Pa

(7)油滴匀速下降距离:l=(7)mm

(8)平行极板间距离:d=(8)mm

datafill 981 1.207 1.83 9.801 8.23 1.013 1.6 5.00 Y2ohqskM1TRFV4OR8NTt8qU73ryHG7zYHxYRmaNogtCVdnqCNgNHZw3mJ+xm+8/enXINkuSt9TxvUi5K8XrD6A== HLLIPGEigCS9uQcpleVWHQ== HLLIPGEigCS9uQcpleVWHQ== HLLIPGEigCS9uQcpleVWHQ==

2. 电子电荷的测定

(1)第一个油滴测量数据

原始数据表格:

测量次数 1 2 3 4 5
平衡电压V/V          
自由落体下落时间tg/s          
table 235 235 235 235 235 18.01 18.08 17.85 17.91 17.74 HLLIPGEigCS9uQcpleVWHQ== HLLIPGEigCS9uQcpleVWHQ== HLLIPGEigCS9uQcpleVWHQ== HLLIPGEigCS9uQcpleVWHQ==
0.05分

平衡电压的平均值:=(1)V

datafill 235 TtDFN7j8gKdJw6ZT+oEdww2HBWoRYLeHf2C9fAQn+9rcHcuXumvTEnPfJsTldvMXZElV67pUJ8wgcfqKVyJWN7CutP5icV2vQzN52NqZYtVRa0EHcXjhdTD0GJ6EjVYYypF3kG2+YjBLUbc/fiwXpe/ousO+S0wM4vcJALPe/WPiEVcFnEC5Iqvc3QUT77Oc9QIZxG604fwY2DCyXX4bd/HsX73sCP6atYa20jTKGKE+06JvNw9Ox9dqXuNOK2BD9vo9pGdWt1UZsmBisyvsOQ== nSvZoqxgHipT88kt4fm8aXHaAY3XBjwA/8z6UE4NG4iManPiGBjJr2kJZMDLCGsCXZM7Y1GqcXx4jJVW+SxmwzIsPaYcB+Cs/eNMIToRfceFsV6I8J4NBMa22MIFYlw5aCnsUlE65TK5dHzKibKb5sdJPDet8RCC3CEMT/EXqd2eZ+Ysi0efizhMeCl9TOAsxDOVssZ6V/UXzZaqu17SJQ8ny6cHQoLTOTuiwRcu6gCpZVgrOY7tO6+UsCudv+CKL/27aE/WodS433ZpNJSvNGH2R9YiiTsCF94SIvETWbowOGz/rYaLUekoG2cHROYGbC6pfN8TLPQTS8YD34r8vJuY1Ujc1iNWnx5L/EF7Pn8qrEOSEf6uU85BtfcywezV22nKj+jrhacLdRFiPpoz9YaaQLMMnl+86OItc/k/lvQEXQknM2sJ4/9Pys++wx8ickGBbpyr57WY5D9KAJugqISf2O+jFb0fry2nhpIFY+52QhjO8cjaGcVevx9PMgBTNAsyjV/hYqavB8mhYQHvU/sl1UXYc5UR9/7b9mxfisWUAks/VH2emsWuklBZzzEBcWUpNBKSse0EC5su6yXSh2ERX5eCzYhLl5QQLlra7i6lbjNXTu82WDnQVWWUmiur9KvVzJaBfqevIpr9MqBrIZGq6kfsBp3MagvhOF/t+0KuixYjUeespbfMxb5Cox15+yZdroGxkhyH96tjN5MOj2qaW7EIbK4LFFSWuu50GDogGAV26kZRKxBKxS8zJacdw/QX2jlNntq+ytId7Nrn3cGHE0QiJdU1mYvEIWPMa9EpAaWMoPaq7c62lPSP0ZmjxEscaf4gWMIH/log11nSpRLn0XBFSHBqlWM1mhyWeW8wzS+BZliU+Bb2483QaxBFvy5LhB3wSf5VTk3+G3SiX2j9azSk0zOxkLl1nxLJsJT7o+CWPqyYhWqNhSvf9kupa2OVkw+9YOTt5Qk5PQRmo6UkBPxg/ggN5zk4QfUPY+huERjpRYx6xAAH6mEPmEnieNaca0sohY1S99H1gAGw0w== kbs8cUEArIzl90tKMNafbYHxVlWcZSPCSNHpyr79Ghet8cA3zN2g8pM9FKB7U4TQaxwCptcELlCLEqij9G39SnL+KuKO9adY8zD9IqZic8HGZd0xaAtW6TswGU5lqPr7QwLI7k6bdO4eE13xWhxhk3G6B50H48YzYcFoQNYnAUrpowUGmkKX6ZxMZI++JeEa8XD4ukkMJ6AruMTx5Dskd5JoEasvdGd0DO9X+Sy3uN9QZEALS+UUlpLJ3+jZvF5gKS4mQFCmbiTOOuX8N9aBVqhoGkDHA4C1Wt69k2pmuik9XLZRg5QdqOc2Uf3eFZACZnWp3DBgQrrqY9WlVwLLjw== Ug6i3lldBqk495UIG3GZJciiHhucHPpIqSficrYaV6wN7wS/cKWZrZFo1EPFnga9Ksa2+scrqQfki1bj/MFCcPOUXp68WrSBfjIznsmsn8ZUXf8EM2gh3DICZVH+Pe0nR4dC5loIH9zw3nG7RHNoBf6dK29KrwsHf8MHJ/rf1wLsTuM2QPGOxEUQ48Jx3Cd+nbnaq5A2Jo3p3AqYKBZVohWcKIYSKbPW5avkPM6+kAPOMB78vLffyzJlx88DIwnMRbzsgIi7JRdCQlzAzfkNGhJMB6F6qRecZkmyzav4C1W5Uy5JO1bEJHnTFr29oOw9
0.05分

自由落体下落时间:=(1)s

datafill 17.91 TtDFN7j8gKdJw6ZT+oEdww2HBWoRYLeHf2C9fAQn+9rcHcuXumvTEnPfJsTldvMXZElV67pUJ8wgcfqKVyJWN/23lNMZrkEgmWS/w/kz35bIuRXP26vuFkBzHF5JVAeIhEJ7cgNwuANsulgGulY0siepaQVOQiVCz9J8QWnYQ+nG/SyV2Ot7T5mogHl2Qx4pX6vABGbWpQ6jWqNOgJ67y6frQGeqx1bPZOg77Nh6FYyy64uXhrOIkAxg5PPiiPCppR7gXRssTDGECjcCK+XJEw== nSvZoqxgHipT88kt4fm8aXHaAY3XBjwA/8z6UE4NG4iManPiGBjJr2kJZMDLCGsCXZM7Y1GqcXx4jJVW+SxmwzIsPaYcB+Cs/eNMIToRfceFsV6I8J4NBMa22MIFYlw5aCnsUlE65TK5dHzKibKb5sdJPDet8RCC3CEMT/EXqd2eZ+Ysi0efizhMeCl9TOAsxDOVssZ6V/UXzZaqu17SJQ8ny6cHQoLTOTuiwRcu6gCpZVgrOY7tO6+UsCudv+CKL/27aE/WodS433ZpNJSvNGH2R9YiiTsCF94SIvETWbqpNWQgBBO/3E9qxiT5+H20V/4HrgeKGn6PNZLGB21KSiAPkTS0poTWZCbUWCi4njgl4hiUsnmhKSinZTV1q1OB50oKkaxEstYaUHLSDqedYAySDV30ei9akVv0RfQ0/j7HhKMk/DVlPUEc3f9SBrn5uM3UO4/R6whiBHdYAgatqQgGoqs/Cg7tFffCvfltAi+h3twhLREKdaRvIBf0boj0L4bV2lS8876cl4k+ZqnCqRN8mCJMHX5FJ6YQqGXKVSlOyr1WA93D117v0g4C/uYnmQXGQ40I9ceYdgxUHIakUWvqGW7b8HVe5u/FMqOTPkohmFGLUeWdbJ++eMrNtGV6L3cXwfQrnMWvu9toeWJKYJQBWN84mJJ6BKuYK3ET8HIO6CpdrWHo5PhUFiBTM1OcgA9M7AhvlZbRJnaeVGJ2u4XM8+7pemOop4jZ3lyAHhMXz6htcvm9cWbGwsZ1GgU2Ce/WdWLn2zzQSn9nyEhpbXESrEfiMTxjsKnLA1LJcVDOP8F5ECxBl+POd/LQrobuEoDyHPLN83ynq9Ia1xYMKSaPACOSNeoLRvzLlkxHLfXFNqWS+UGq5gP0kybZQVPQvSx4EmKz8fRYalvULtR2bL/0Nxeobao+pS2BsIIjX03DD4CO1CAovPWwkoEgOaB0t3GDzk2ka+Sbux4mhGKEa/e2ScS3OVc7fFLCfU7ZmryPwapN/8YAmxbzo7R1iJ9MOZ/X7NagbepSC6vL/n7FG5DDWhZSKbxhJuIKKv+ifqSLBm5AoAHHD7JQ6M8uO78J kbs8cUEArIzl90tKMNafbYHxVlWcZSPCSNHpyr79Ghet8cA3zN2g8pM9FKB7U4TQaxwCptcELlCLEqij9G39SnL+KuKO9adY8zD9IqZic8HGZd0xaAtW6TswGU5lqPr7QwLI7k6bdO4eE13xWhxhk3G6B50H48YzYcFoQNYnAUrpowUGmkKX6ZxMZI++JeEa8XD4ukkMJ6AruMTx5Dskd82aHnPrtqIc7Qz1HEsyv9TzyeHdh+64K7XmCYZ78xYbPiY1hLYZOq50t2m0CcYI9KZIH99/5T2CMXFmOFAcugpBYCM3jt2yz0cXbcYi1uJBpG0Up+56p4bEBgkGetxTCQ== Ug6i3lldBqk495UIG3GZJciiHhucHPpIqSficrYaV6wN7wS/cKWZrZFo1EPFnga9Ksa2+scrqQfki1bj/MFCcPOUXp68WrSBfjIznsmsn8ZUXf8EM2gh3DICZVH+Pe0nR4dC5loIH9zw3nG7RHNoBf6dK29KrwsHf8MHJ/rf1wLsTuM2QPGOxEUQ48Jx3Cd+nbnaq5A2Jo3p3AqYKBZVohWcKIYSKbPW5avkPM6+kAPOMB78vLffyzJlx88DIwnMRbzsgIi7JRdCQlzAzfkNGhJMB6F6qRecZkmyzav4C1UpYuorkB22uU96MVw8a/ZJ
0.05分

第一个油滴的半径:r=(1)μm

datafill 0.858 0VSxu/x0j9Yu+uXuJcLRps+I5VOkqgftHPDxm0zW0h/19mu+Whx2g2zs557T3L3T7334LEvV6LyVScHX+5YMTu3y7A9uJudL9gWe4GZZ2sfJjoSuhsfZ7ybDGddpX6pCpYq2Py/yisPC4/KP1qMEtBIncLa6xcgFJB35HVVppTDWK/tF8kPzS2Dd0m2BnejyoR5ukV4mEfKvBoHMn1karkxDbL7rc87PgQuXezH48ppXV8mnEEGMyaw942XlYQKFc46odnrE7NC1dy/1XvttiL5fxnxaR6LXWc0ps0vQVdOtlXL0/DphB/xYgPpfbEKu nSvZoqxgHipT88kt4fm8aXHaAY3XBjwA/8z6UE4NG4iManPiGBjJr2kJZMDLCGsCXZM7Y1GqcXx4jJVW+Sxmw1qJ5uf0j3RPPemIfBDLOnmzsLPk0pHhIlI6Byc9rNoUXgVwWNeO1iol6geVTW+DBfq4763n0JJTuGEjeV0XyX4LwLTiEp4iQIC1HATyTlvPN+UyRj0G1wYvw5JKQNH+JywDtmf1bgx9ULDaZtNpEs0vR3XM6VGw7Js5XUu321dTWj06qUpfVeiVSaf595tuAjw2t3QoNge/PHD8YkdfP1F3og4LPry4VykRsV4UbKfrSA8HyHWirt63WP3wTAhHea/ZDzGm9yKhRMui4VvEgW0C8GKCXeEwoBGGzAlN66F6BcVeYD6Ov+0M7Hu6BuWrWoVHc38SRSs7htWUEz8uWoVm4cZ77xT/Xc+ZwrB/rbY3ebdyT2FGMKalYzeVW4MnyE3VCp6G0ejlFzIcgsLn4YlWoC7pQKEpn1y58bQ4IGBp53hFEKyV3pi4M7U0L9ymxornCKqHGuv6gWJDLSIWxIh/YoxgOFtDMefCZ+U5epsDXGGIU5JYaAz5xNXDW9s2ILIl7yQoJXbMYWKpelHW/ZcmDaP1wbz2JDlyU/KeJVQPP5KD6FnlusHHv6Mpa8b0k1zhhqnZe7ROBSJX8UjV1pWYW4Pwgh1A1tK8i5PXaUdb0rNnEMBAAFl0Dlt1LRGUKotS44loznhyK4At2ZhHtw/cnFW0sc/ym9dcfOVxZOUBkcJQ3sg19iBm6O0o9n+KDheudK/WBi1IX2TJys6dmZk= kbs8cUEArIzl90tKMNafbYHxVlWcZSPCSNHpyr79Ghet8cA3zN2g8pM9FKB7U4TQaxwCptcELlCLEqij9G39SnL+KuKO9adY8zD9IqZic8HGZd0xaAtW6TswGU5lqPr7QwLI7k6bdO4eE13xWhxhk3G6B50H48YzYcFoQNYnAUrpowUGmkKX6ZxMZI++JeEal1aDxo+JB5/fyPdfnERPSBtoK314Hkrp/o1kxBhMfY4E/71ntn1wjGbAgy2rjw8x8XBxZxcSXC6iSoD4bVkr7it85OtrBjyB8PbuOHZ2QdQo/8u5MsEyYwE1jSQf1yVG2ScjJLvQQeGJIymFjGjAE0NOYVckQUGxJwJpGwxC5hk= Ug6i3lldBqk495UIG3GZJciiHhucHPpIqSficrYaV6wN7wS/cKWZrZFo1EPFnga9Ksa2+scrqQfki1bj/MFCcPOUXp68WrSBfjIznsmsn8ZUXf8EM2gh3DICZVH+Pe0nR4dC5loIH9zw3nG7RHNoBf6dK29KrwsHf8MHJ/rf1wLsTuM2QPGOxEUQ48Jx3Cd+nbnaq5A2Jo3p3AqYKBZVohKe67gtErX3XhZRVv/Qru0LxQ7aAJrdYFGNIelz1nBK
0.05分

第一个油滴的电荷量:{q}_{1}=(1)\times {10}^{-19}C

datafill 8.01 MjTc6Coiu920y1LYMpr+VVhwg0vEqt6byxk7D19zNBd1XmdrcAHbLNJQOYQYHn9UusJLfQEOgA/uAO3GB4WqpwfUggkRXOmr2XMxYtR2DBPZ49g+afVrIGpIR87bocDsyvyDnoIbBVL7K7agVK7T/UBmW3pF7BBNIPLRQj8WZHJNWnlt1fwdlcnwHAhZz2e3+V0Jjbmc19mQV4WAFaY3gHc/QIA/jm+Z7IDyW8rnLwp9/6s35LQIBKpMKwpdrAXQJUDgzIHmAXVY0SfkFmHjvHVP9EvtvYWIql+y4QaJRTcmqxrYhD/N6hSKJCLrEE2/L7QNVYvf0lS7pYnFHEjwR5NoYofdddwMqph3j/RjbOmiJ0IHHmZazWbdDEtfqPITK8uxcf7vb7equrKgVrfK0+6kaUVRqONITkNQPdHIcBxOXYoe7Ly703IU2NkKTAPxIj0pgaH1ZCt+xgw1zsXLA6CBXVhJdYK+Hm9fz6DBg+7DRFtq/YnqK5Xp5Inq+leMNxF5EeRC+RmntZ4N2TUPqN1n/z1tDjLhNzmItK6grIsitC9dnfxs0k+kACyLiQtWs+WY7vTURk+YV+IjI2FmiNIyL365VF3ZilvUHhluld9D7nzLvSqQmH5bRMhOKmT0JZkOzhzdMnoi1ZuMvfum6EZcHF457AbQJRReiftGug6RonvKDFtGqhdC+2hSaYieQQ4Hsdw8g3+hvYZE50cphA== nSvZoqxgHipT88kt4fm8aXHaAY3XBjwA/8z6UE4NG4iManPiGBjJr2kJZMDLCGsCXZM7Y1GqcXx4jJVW+Sxmw1qJ5uf0j3RPPemIfBDLOnmzsLPk0pHhIlI6Byc9rNoUXgVwWNeO1iol6geVTW+DBfq4763n0JJTuGEjeV0XyX5RItN0E7wRsKzL5V8lagjD/dZuMHMgarw1awkIixNnSJrHBXvKJiQOU/cxmqTqr7rOpAJJbi3ECvKA3Gln6jIhDEuCWrjuTk4hfO+1Dva75mHdg7AfUli/PQvCtPioCIICEeU/7OKGpyEvXk42P+udiKORgHo/JnuqxkFGUZ285KGv1sfe3YajSOUjO8kOsLJSkrNMwYUAcErnsfHcSLD+inPGC+p/wq3C7uUlMGPMuhAj4mKjjujyuxg7Y614X15RP1K6U2jRA15yB4u294yvYaTSnFYhkssh+pCuB5GmiZVtKy5hbQWi4m8sLgN2+6N6/TNiawcVotzk6mhfLHi85a4hV1xfdTv2Sr0aRt3eOUfASnY8KKAM7wNiFFaG01QdxGIgezuksIoInz7BSwa1lqKE4PrlkHud1t8MwE1G8hv0mqXMY68WXfORRwTOIXQ+0jmSJTnxLiU/LIYFWXM4UR3vsjzeeu4yanFCLqKLoz+uOybtwmQx77ykLOUIFq0cJLTJbem79gQPRKYIti8r8+8U6kKK29ZrxTZBSfvNlLhoWHBRmkQmhtOhTqgkyO1e9XqptD+FMuYDDx/JwisAHL614SogNwL8RM2oGBeKz7al+vAMBe95+lI6IsCfWag= kbs8cUEArIzl90tKMNafbYHxVlWcZSPCSNHpyr79Ghet8cA3zN2g8pM9FKB7U4TQaxwCptcELlCLEqij9G39SnL+KuKO9adY8zD9IqZic8HGZd0xaAtW6TswGU5lqPr7QwLI7k6bdO4eE13xWhxhk3G6B50H48YzYcFoQNYnAUrpowUGmkKX6ZxMZI++JeEa8XD4ukkMJ6AruMTx5Dskd82aHnPrtqIc7Qz1HEsyv9TzyeHdh+64K7XmCYZ78xYbPiY1hLYZOq50t2m0CcYI9GpxXPPfL7ZcBOjI+b3g3IK2h5i/XuVAcFSVdNEGvt4L6t4Q1awD7dPslQtU3EYsrNdUczuJmdvt4vvVXJHzVRs= Ug6i3lldBqk495UIG3GZJciiHhucHPpIqSficrYaV6wN7wS/cKWZrZFo1EPFnga9Ksa2+scrqQfki1bj/MFCcPOUXp68WrSBfjIznsmsn8ZUXf8EM2gh3DICZVH+Pe0nR4dC5loIH9zw3nG7RHNoBf6dK29KrwsHf8MHJ/rf1wLsTuM2QPGOxEUQ48Jx3Cd+nbnaq5A2Jo3p3AqYKBZVohKe67gtErX3XhZRVv/Qru0LxQ7aAJrdYFGNIelz1nBK
0.05分

第一个油滴的元电荷数:{n}_{1}=(1)

datafill 5 0VSxu/x0j9Yu+uXuJcLRps+I5VOkqgftHPDxm0zW0h9bX6CdsSU3Jp2tQP6zXXgOxqNYMbkyNoZfdF9A0kmoQOUJsSMlQXCFYWn2p23cvaRULSN9Uy96XsJqPf57vsD7uwgwzZnCYfoFDkC9WF6KepPDmsdvuCd0JClAyZ5OEGgMrG5UB1jNXBNn5uTdG+0b nSvZoqxgHipT88kt4fm8aXHaAY3XBjwA/8z6UE4NG4iManPiGBjJr2kJZMDLCGsCXZM7Y1GqcXx4jJVW+Sxmwwemh3JBBaxQlXXZsE5rXTirUYu38CHs3BwoYXIZx6W3o8UZTphAKzoZyB3pJS51sSyiZQy70ojJUaNjod8nHml1oBUIOIA6n18ye1ouD2/QdcA1wU9Mi5DLThUT8ipZfDAMXNNUqnt+2lXTb/jDreZHfZhcw0pOAtxuIim+mqHvONzKqqE5zKpgLSTrjV/pqKRNtPNuYkyRwGVWmPKaaP5f5CF/W7g1MJtmSyEZtkGcc3XNT94jgr6Xg0VMAwp1GmcqrgdTOE7+sLNEyx1APFe1iBMvQlSnKbHgloxnD7oc6bGicqMVADx02erIIMOxxUlT/+XT6LI/0lsjyWc7BDrqtwokBk+hheKiTRm8GppL9mhBlVGp3oTd7XfOgU0SAm/EQdDYJlfE3lYsQMMYgPI= kbs8cUEArIzl90tKMNafbYHxVlWcZSPCSNHpyr79Ghet8cA3zN2g8pM9FKB7U4TQaxwCptcELlCLEqij9G39SnL+KuKO9adY8zD9IqZic8HGZd0xaAtW6TswGU5lqPr7QwLI7k6bdO4eE13xWhxhk3G6B50H48YzYcFoQNYnAUrpowUGmkKX6ZxMZI++JeEa9/ku8zzdxHlgivPCb4k6e2bf2M+CQTF4Q4x8fvlGaqbfShbo0/UxmXnwFfeZPNAYBGpCgJ7kLJgSNJoTyNFBxebOGiL244LkNPPAmCNx3Tg2tabfvdBulHlpuSb5EmQc Ug6i3lldBqk495UIG3GZJciiHhucHPpIqSficrYaV6wN7wS/cKWZrZFo1EPFnga9Ksa2+scrqQfki1bj/MFCcNMThYaHFINaq6DFQDspAYgrDqefKkA2X2CCmQOd5zF+UdYg35HUy9X6QUIsIm6v2aMLLBNNNALVLdpv7+cwsPs=

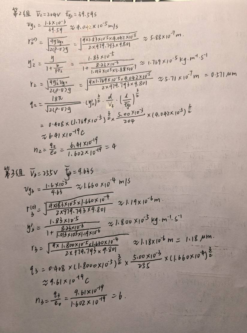
(2)第二个油滴测量数据

原始数据表格:

测量次数 1 2 3 4 5
平衡电压V/V          
自由落体下落时间tg/s          
table 204 204 204 204 204 38.00 40.24 49.31 40.84 39.54 HLLIPGEigCS9uQcpleVWHQ== HLLIPGEigCS9uQcpleVWHQ== HLLIPGEigCS9uQcpleVWHQ== HLLIPGEigCS9uQcpleVWHQ==
0.05分

平衡电压的平均值:=(1)V

datafill 204 TtDFN7j8gKdJw6ZT+oEdw3WcaxAmJyNd+iHWZgExUUb8ULrAgmYL3AiLa/T1PbDFIRQ1dD+k2kyi4AtcuBTca3szFs+Pej6IKWXdLXFZ2oMeYeNfclcc+FQ47qGVjnNm0VrDPFIcylWaHDsx9KyuhZ6c7wameLs5aTIK5IoRuboPrRlfzbOEnfygVBSJpmMLqhCIccv/wTEwxM4zq11eM19WicBjBKG4SSnbjgyZtM9XgsGfnJtuYF7bnl0nDLXqnZfVJ9SB6wZhssxAcuZRsg== nSvZoqxgHipT88kt4fm8aXHaAY3XBjwA/8z6UE4NG4iManPiGBjJr2kJZMDLCGsCXZM7Y1GqcXx4jJVW+Sxmw1qJ5uf0j3RPPemIfBDLOnmzsLPk0pHhIlI6Byc9rNoUXgVwWNeO1iol6geVTW+DBaHMUptr86R5oMEocLYSEhXtvCyGglj8jkWCLiwrVx9wUv/sIk81lSGN2nzQl64pc6rTEH/Qk1w+m5H0sJiyE0e1Ocr4YmprnnsWBsy5lL8a69+zdj8KvpgvXaVpnNBEVbcdw+FxFReRBYIQ3eLr+cH2eZG+1r62TnZruh5JUK0NhgVzbh+CcHQnW4s7jltBI7aQpoaJ8rbml8tUxpYkF5ebvbgtHiCMh0rHnf6XDA/0n3gJSKEU6Skokp5qXz7aE08MW8tRyjHz4hUPbk8FuC2wMaSCNhqYsnyz44RBqEdJ1WDztZPLAeQrJN8uPQ7tcCNRzTA/ExL0sRljbsshYjYrP5gFpqD7gMjJ+8tyTESyX3CXQ2h/mxbHPC1EHo6bjtYVu1069nMp8AbJSz9RJL6Qk3jxw+g2e4wju7u6p2V8EoXoF2+ZFBNsgZwEUCVGhNKdY5wr5vVDS2gBSrbfAlR6+TJJ6GXtph23DDULH6FoS4PpoEIEyAF1mDS4VGGZtj0UrOQ15nDFB9svPv9IzweFf3hKbDFo9iPNBtQwEw8fPDHdyWXvAfxV79APE33wpar35NDVl6LKpScXgmUzMiXbYypnX4Be0dfG1Tg/Wplex2+jSqcgvv0cKGFwI7y3SIN9MAm61i8NSkgaeJWJ36iq62OsRncpYB7a+rCjk1TT9N+R8dhgPcqs3wjjTZSUKyBfLR2CJpQ8C2Kas94tut3SszNxWUBIlM2ft8K6QHJRtWgEcugqZ0NuvfgfSAThCQ== kbs8cUEArIzl90tKMNafbYHxVlWcZSPCSNHpyr79Ghet8cA3zN2g8pM9FKB7U4TQaxwCptcELlCLEqij9G39SnL+KuKO9adY8zD9IqZic8HGZd0xaAtW6TswGU5lqPr7QwLI7k6bdO4eE13xWhxhk3G6B50H48YzYcFoQNYnAUrpowUGmkKX6ZxMZI++JeEa8XD4ukkMJ6AruMTx5Dskd5JoEasvdGd0DO9X+Sy3uN9QZEALS+UUlpLJ3+jZvF5gKS4mQFCmbiTOOuX8N9aBVqhoGkDHA4C1Wt69k2pmuik9XLZRg5QdqOc2Uf3eFZACZnWp3DBgQrrqY9WlVwLLjw== Ug6i3lldBqk495UIG3GZJciiHhucHPpIqSficrYaV6wN7wS/cKWZrZFo1EPFnga9Ksa2+scrqQfki1bj/MFCcPOUXp68WrSBfjIznsmsn8ZUXf8EM2gh3DICZVH+Pe0nR4dC5loIH9zw3nG7RHNoBf6dK29KrwsHf8MHJ/rf1wLsTuM2QPGOxEUQ48Jx3Cd+nbnaq5A2Jo3p3AqYKBZVohWcKIYSKbPW5avkPM6+kAPOMB78vLffyzJlx88DIwnMRbzsgIi7JRdCQlzAzfkNGhJMB6F6qRecZkmyzav4C1UpYuorkB22uU96MVw8a/ZJ
0.05分

自由落体下落时间:=(1)s

datafill 39.58 TtDFN7j8gKdJw6ZT+oEdw3WcaxAmJyNd+iHWZgExUUb8ULrAgmYL3AiLa/T1PbDFIRQ1dD+k2kyi4AtcuBTca5DBXnAcvjVfXfN4dh1Lcnvu9J2e+N9ckROChQYlTOuVwtrRmasgxmxLOE9+3Qwz6/dV9f8s64B4RwHO8LWqGgc9294jaMSWx0R+DyU8LkpBUB59Qn2UznfefPFKlFcxqWyCCjjKjMC+zMMQPJ4F/f5jp6/Us5xUjs5dS6iDPMKTtovfG4UE9jBaDdial7on5g== nSvZoqxgHipT88kt4fm8aXHaAY3XBjwA/8z6UE4NG4iManPiGBjJr2kJZMDLCGsCXZM7Y1GqcXx4jJVW+Sxmw1qJ5uf0j3RPPemIfBDLOnmzsLPk0pHhIlI6Byc9rNoUXgVwWNeO1iol6geVTW+DBaHMUptr86R5oMEocLYSEhXcAA22mgs0Im3aajuWW3ACLxAuHgcLpuVbB6LNjCB2WxaY2i2ke3kiw+P1+YZ9ewNvCX0ZSggmBdDoOc4KX3S9UBbHFsAxknmyaOhSDvaeVhTl7T+4P578VgnXCk3hsAFQWYOHXVQ/XBzqFzuMFAUwWee578NnfnONX2nY6NGu2sKCKpoDl8dscU3pyQVW/LS/JHvdL4L/HdSrp4xFFGE7SoYS2eFikV+80m/kbq8Xl+tA43Wkzbm2nRlHBXeCNRya7oaOoURLuKEDega8hfV4Q/5zuTtAmxvQy5FT08jpS3ynluAtFkvQJd3rUOS9k3LdM5ENfaEbeyUu4k3n5iG3fnXSflIjHRc+3YJI8IjqSMcLo+1P6VNBKqv4szN8LJeH+SjtN0awSgsClH1of5K3xd0NnhOYLaJTZYk4pJstci8uOXL5i1A4cnbs63IPMt5k3RKlIbjuALnZX0EqKa9e8FEUrhZ3UyKOEC+Tx9MhITl4UoxsbkMqL7Q1Hs6hKCOb8XGZ1Tss+JWqLKK0y45PnZRb+MaDzZ0PVIVgKQVKo88Q74zY86fKo7tagC432mVn5qYpwvuq2BVqYM6H48+jeKPE47bvdubylcmSgiS2CX7yVtn1kQG42fbWvztV8hsceOCFbnaVwEhebQ6FJOV/VYPJVX4Kk32H6MqHCa+1QXA9HqlJ3nmPGc3ivGDfM+h/2s4qJppscyx+88nock3miIGcnmzapvBbYkUmPkntBjN/gAPMyvbcL4d0w3iZcwpbOn0+taLzisuft9WhuXnb kbs8cUEArIzl90tKMNafbYHxVlWcZSPCSNHpyr79Ghet8cA3zN2g8pM9FKB7U4TQaxwCptcELlCLEqij9G39SnL+KuKO9adY8zD9IqZic8HGZd0xaAtW6TswGU5lqPr7QwLI7k6bdO4eE13xWhxhk3G6B50H48YzYcFoQNYnAUrpowUGmkKX6ZxMZI++JeEa8XD4ukkMJ6AruMTx5Dskd82aHnPrtqIc7Qz1HEsyv9TzyeHdh+64K7XmCYZ78xYbPiY1hLYZOq50t2m0CcYI9KZIH99/5T2CMXFmOFAcugpBYCM3jt2yz0cXbcYi1uJBlYrRZQs+SJQBgV20mR1bvg== Ug6i3lldBqk495UIG3GZJciiHhucHPpIqSficrYaV6wN7wS/cKWZrZFo1EPFnga9Ksa2+scrqQfki1bj/MFCcPOUXp68WrSBfjIznsmsn8ZUXf8EM2gh3DICZVH+Pe0nR4dC5loIH9zw3nG7RHNoBf6dK29KrwsHf8MHJ/rf1wLsTuM2QPGOxEUQ48Jx3Cd+nbnaq5A2Jo3p3AqYKBZVohWcKIYSKbPW5avkPM6+kAPOMB78vLffyzJlx88DIwnMRbzsgIi7JRdCQlzAzfkNGhJMB6F6qRecZkmyzav4C1UpYuorkB22uU96MVw8a/ZJ
0.05分

第二个油滴的半径:r=(1)μm

datafill 0.571 0VSxu/x0j9Yu+uXuJcLRps+I5VOkqgftHPDxm0zW0h/19mu+Whx2g2zs557T3L3T7334LEvV6LyVScHX+5YMTu3y7A9uJudL9gWe4GZZ2sdeIcEEki6gFLFGf5rh15at/nN/sF96XXYmkhuVDEnZlSUXE0ftCq7ne8ucYnsaM6IeE18ja1H+MSJUieGexSH7jVYnyrwFn3GzK9XsYwbXdpAFXUtRJs8b6ByqZfpJuUobMV4VjCYcLyl4UfxcbTWTknM/DUFSmcjNSZK2BP/JWK6PcbZj46EB3JOe3emvyZxTcOp/43amZiGeweh9mGNM nSvZoqxgHipT88kt4fm8aXHaAY3XBjwA/8z6UE4NG4iManPiGBjJr2kJZMDLCGsCXZM7Y1GqcXx4jJVW+Sxmw1qJ5uf0j3RPPemIfBDLOnmzsLPk0pHhIlI6Byc9rNoUXgVwWNeO1iol6geVTW+DBfq4763n0JJTuGEjeV0XyX4LwLTiEp4iQIC1HATyTlvPxrzx9nyrJmid8g8KkC+JfiYgTtCqiFNXYiBYKmmxGykhmn2JzDIZgtIxGfel+Mg4EUi/hlAxf7l/ZnDzdAtSS2IpPRgYGhIytr1ADYpj0aQLwSO8eW/+XXaNBnT3fBBkXULCSseKKBbMt3sOyUDKF83qFJec834XacR5kCj57iHmCI2SN688TBQeBSZpozKF1wUBOCoOcPNjKuviEUAauLv7WklmBBdhhF31KKi2JOkW9CT4ORpy3jhqBqRutJK07PjsmB/gETb4cFG4lG4PkmvMjjiWMj+Ij2791p7CUbFN/scpCw/OPaEezAn2Fk8WWAVk5xfo9w0zyXpOOTLWtOJWwAHgNYBCPQWk1tQ24wHr52+uESWSPmVALZg93jtNprf7i8+R9257yn4ERG2Sd8sLuy3L0p+wc4LwPTkEW6MMEyxzoSv0d8Dlzgx6mkq7jvMDw5KH1cxpP9CkvGhp5qJKr8jsqvOFXdCqztM4Va7W+DP75GXmA29Abm5V05X94rregZt5OmqDZffY0tCClbnlJzhVQtHlEuiQsx1hT1awI0zORK8VZ7xNZzYCmaSZRYnMrCeRjCC+Qi8tV38nsRyV+Rr4H2vbxhD8/014MiE= kbs8cUEArIzl90tKMNafbYHxVlWcZSPCSNHpyr79Ghet8cA3zN2g8pM9FKB7U4TQaxwCptcELlCLEqij9G39SnL+KuKO9adY8zD9IqZic8HGZd0xaAtW6TswGU5lqPr7QwLI7k6bdO4eE13xWhxhk3G6B50H48YzYcFoQNYnAUrpowUGmkKX6ZxMZI++JeEa8XD4ukkMJ6AruMTx5Dskd82aHnPrtqIc7Qz1HEsyv9TzyeHdh+64K7XmCYZ78xYbPiY1hLYZOq50t2m0CcYI9D/Sd4FT3CJ1+l6oUnnCF3FTefqgp7s44geiNVkwVJBV85M3smY2sNgNC462Y0JcIK+N2jgCnZ5TkgZZRLFVx0E= Ug6i3lldBqk495UIG3GZJciiHhucHPpIqSficrYaV6wN7wS/cKWZrZFo1EPFnga9Ksa2+scrqQfki1bj/MFCcPOUXp68WrSBfjIznsmsn8ZUXf8EM2gh3DICZVH+Pe0nR4dC5loIH9zw3nG7RHNoBf6dK29KrwsHf8MHJ/rf1wLsTuM2QPGOxEUQ48Jx3Cd+nbnaq5A2Jo3p3AqYKBZVohKe67gtErX3XhZRVv/Qru0LxQ7aAJrdYFGNIelz1nBK
0.05分

第二个油滴的电荷量:{q}_{2}=(1)\times {10}^{-19}C

datafill 6.41 MjTc6Coiu920y1LYMpr+VVhwg0vEqt6byxk7D19zNBd1XmdrcAHbLNJQOYQYHn9UusJLfQEOgA/uAO3GB4WqpwfUggkRXOmr2XMxYtR2DBOh38K/BW1Nl4qAwa+9lMfiKGE5o1sd/7BxBUwBzoof2u14eDcwguua23xf1IqI0H4t5ZMzxkJLtBnvx15NknCpjVAE8ZuIMrzX6HTPAeZoN5ZV/a1bT5aB7BUq9pMluFIonK+ATCOF4VLR4HHYPdPu7vdKPMhrRB/r0L3xWPlb5oj4/IDVh29TIMdkvD1Bm16S2pnNUO/yJK4/PohVssG1PNL6+8X3WieIBCXEQ00hKJzIXeAvYdJEeCVn50xECmID+ZJXG6Skztu9RSj/gWuTxMZmItAyn5SSPl7Za7NaJcPNZC9sww8nnfHkB63YiM7GEoGQXJJOsrMnovgLcOcgZONr6mTanjD01iWWTixEeSV+Wr8dpUpGUYl3qCylfiHOodxyQurIDk8IuEJfF0kuou+S5eIxuQ41xwmsopbOMzT8LBglXvRrPo35lIEp5Gp4XzvNQ4SGOOhSmusrSnMcRVRL8gGkWOd3dgOmrB1n3GA14mQfpSy2FN2ssNl/coYVVPPEniJ1b8FwjmNRPCI/pb4r7NE15u+iQJAcVMakwrnVJg+bcpchSJzmhMZS/jhVXdaZgmISISBMYGV+1w5CIZ0kUg1JHC1Z8pY1KaQlVw== nSvZoqxgHipT88kt4fm8aXHaAY3XBjwA/8z6UE4NG4iManPiGBjJr2kJZMDLCGsCXZM7Y1GqcXx4jJVW+SxmwzIsPaYcB+Cs/eNMIToRfceFsV6I8J4NBMa22MIFYlw5aCnsUlE65TK5dHzKibKb5sdJPDet8RCC3CEMT/EXqd2eZ+Ysi0efizhMeCl9TOAsxDOVssZ6V/UXzZaqu17SJQ8ny6cHQoLTOTuiwRcu6gCpZVgrOY7tO6+UsCudv+CKL/27aE/WodS433ZpNJSvNGH2R9YiiTsCF94SIvETWbrh0IzoG1GYkGbY++qGY1C73tJ5UBt7FWaHRmybOIr0wMD6PYczpuYXTD/mnmjd6U67/nvWduWmfuHdJb49wQzDwgVd1MX4ryvT1ByzXBsYFVJBtjLeKqKVnFuBYyi9VsaXrNaemtD7VemHRPpVa9UglGSonf6uwTXM2OrXWdpgN1REtozEB5iX9+3ksDhCm4gdmlO6Vnome/8rNAmIUGzrNKNlaKkth8dErqVco5EY8C7wY9l638+d70ETV1e/G+p01aoT3AyJKRNXoKy9ndEBg2WkITbaDdgeazrm2FQHO2PF+nCvkQq3lprQVi1VLgt3eW/LbpxdZruEdDaF+zhIKKb0M9l9rYrqZVM28qPkK4l7EonZtCfogSjCtFy6nTWcx1pWIeP+2qEVyGm2h8p+sWfyHeNHzcsnZaaUiBd0q2wtK8t+ZFGfPlSUNBfEZVlOXrRIXjhHh90cwQ+0lD/2RSTFsT128FVsqmHmHZkPkYc/gbEtxZ/wIHO5EG/IFHk1aZ6AH9pM5WPViQzNxoOzroy18v+4lgwGkFuKHtH4XLji95ReaxNuBV8gzy5KgKGgKdmsYeJLOFgmall247u3aTVA/YT860iRHV+luS2tMtdS5t3XAFBkvO/V2c7ldTxVDucQ1QSsHwq4NvQfNRxE kbs8cUEArIzl90tKMNafbYHxVlWcZSPCSNHpyr79Ghet8cA3zN2g8pM9FKB7U4TQaxwCptcELlCLEqij9G39SnL+KuKO9adY8zD9IqZic8HGZd0xaAtW6TswGU5lqPr7QwLI7k6bdO4eE13xWhxhk3G6B50H48YzYcFoQNYnAUrpowUGmkKX6ZxMZI++JeEa8XD4ukkMJ6AruMTx5Dskd82aHnPrtqIc7Qz1HEsyv9TzyeHdh+64K7XmCYZ78xYbPiY1hLYZOq50t2m0CcYI9GpxXPPfL7ZcBOjI+b3g3IK2h5i/XuVAcFSVdNEGvt4L6t4Q1awD7dPslQtU3EYsrNdUczuJmdvt4vvVXJHzVRs= Ug6i3lldBqk495UIG3GZJciiHhucHPpIqSficrYaV6wN7wS/cKWZrZFo1EPFnga9Ksa2+scrqQfki1bj/MFCcPOUXp68WrSBfjIznsmsn8ZUXf8EM2gh3DICZVH+Pe0nR4dC5loIH9zw3nG7RHNoBf6dK29KrwsHf8MHJ/rf1wLsTuM2QPGOxEUQ48Jx3Cd+nbnaq5A2Jo3p3AqYKBZVohKe67gtErX3XhZRVv/Qru0LxQ7aAJrdYFGNIelz1nBK
0.05分

第二个油滴的元电荷数:{n}_{2}=(1)

datafill 4 0VSxu/x0j9Yu+uXuJcLRps+I5VOkqgftHPDxm0zW0h+hAlB41NuvXEu/Tq7dB0QlbFlHJlpXAVwbeGYvqGGpR6Qvi0xtqC8q78F+1ttVxjNy/Ju89oFNWQQ9t6JSRYxGNx/8K0ziMUE5g6gk9ZhEk1phtHkZIm3N63UiJy3arhhBr+a1Nwhk736GOZFZyBVx nSvZoqxgHipT88kt4fm8aXHaAY3XBjwA/8z6UE4NG4iManPiGBjJr2kJZMDLCGsCXZM7Y1GqcXx4jJVW+Sxmwwemh3JBBaxQlXXZsE5rXTirUYu38CHs3BwoYXIZx6W3o8UZTphAKzoZyB3pJS51sSyiZQy70ojJUaNjod8nHml1oBUIOIA6n18ye1ouD2/QdcA1wU9Mi5DLThUT8ipZfDAMXNNUqnt+2lXTb/jDreZHfZhcw0pOAtxuIim+mqHvONzKqqE5zKpgLSTrjV/pqKRNtPNuYkyRwGVWmPKaaP5f5CF/W7g1MJtmSyEZtkGcc3XNT94jgr6Xg0VMAwp1GmcqrgdTOE7+sLNEyx1APFe1iBMvQlSnKbHgloxnD7oc6bGicqMVADx02erIIMOxxUlT/+XT6LI/0lsjyWc7BDrqtwokBk+hheKiTRm8GppL9mhBlVGp3oTd7XfOgU0SAm/EQdDYJlfE3lYsQMMYgPI= kbs8cUEArIzl90tKMNafbYHxVlWcZSPCSNHpyr79Ghet8cA3zN2g8pM9FKB7U4TQaxwCptcELlCLEqij9G39SnL+KuKO9adY8zD9IqZic8HGZd0xaAtW6TswGU5lqPr7QwLI7k6bdO4eE13xWhxhk3G6B50H48YzYcFoQNYnAUrpowUGmkKX6ZxMZI++JeEa9/ku8zzdxHlgivPCb4k6e2bf2M+CQTF4Q4x8fvlGaqbfShbo0/UxmXnwFfeZPNAYBGpCgJ7kLJgSNJoTyNFBxebOGiL244LkNPPAmCNx3Tg2tabfvdBulHlpuSb5EmQc Ug6i3lldBqk495UIG3GZJciiHhucHPpIqSficrYaV6wN7wS/cKWZrZFo1EPFnga9Ksa2+scrqQfki1bj/MFCcNMThYaHFINaq6DFQDspAYgrDqefKkA2X2CCmQOd5zF+UdYg35HUy9X6QUIsIm6v2aMLLBNNNALVLdpv7+cwsPs=

(3)第三个油滴测量数据

原始数据表格:

测量次数 1 2 3 4 5
平衡电压V/V          
自由落体下落时间tg/s          
table 255 255 255 255 255 9.60 9.85 9.56 9.60 9.57 HLLIPGEigCS9uQcpleVWHQ== HLLIPGEigCS9uQcpleVWHQ== HLLIPGEigCS9uQcpleVWHQ== HLLIPGEigCS9uQcpleVWHQ==
0.05分

平衡电压的平均值:=(1)V

datafill 255 TtDFN7j8gKdJw6ZT+oEdwwKNgAdikOtFOANQ0HFmV4uTMWT9Wp/nDwtLNy2zypRfittWJLSjpNsPCtqSCJjwrfCdSRHxwn9wfd+P49GNtrl97gEZQXhuqsotYup5k986A3ZC+PRbuW+I8RFqLmdyLkiPrAcTJyoXDRY5ApLbvpFhG5ZJpf4WorDKlQXyK6Zjuw6PcPIFdVBD7x+A95vOTO340lEgv0HIUii23t86tq9lntX7K1fC/WgYw484moi2nIXhi3lbJwciso2NWoQBCA== nSvZoqxgHipT88kt4fm8aXHaAY3XBjwA/8z6UE4NG4iManPiGBjJr2kJZMDLCGsCXZM7Y1GqcXx4jJVW+Sxmw1qJ5uf0j3RPPemIfBDLOnmzsLPk0pHhIlI6Byc9rNoUXgVwWNeO1iol6geVTW+DBaHMUptr86R5oMEocLYSEhXtvCyGglj8jkWCLiwrVx9wIgUo7PECdpHOyJlTo0ZoAzoDEZgEO5S11dPjjr6zLxWI2360gx2H78RjF2NkTGn2Lur5zhDphB/X5v5MP/AXcoznGGB+BnMBCOG8y7LLg/9k19IY2vWKB+Vr78ctnAvGFc7UrBZgVdRoplc+vnLtrF539nybxdN35hEW8/J1sGQNEWHq3wWECEOFznykgGah8jhKMBH255KHYBXNQnjID/ejGg9QmQtfBDhs5qAU9KifR7rhf9dUcjtTliDuz69lJ6hZgSWOVORYm/eEpMwW49GdoxbhSuDv+INhOgWygaKrlKHH6vJXqimyIbdNI2hLAZiCXmbQpuh/G57Wt1xiXr8wF4qj3nefeR6aFYHMkcHV1CLHou3WDhS4mlv9PiqO326NA+mpeh2uvxr2BGDdV7xz/RZ53hZpv1APb1SO1Qt2R7WnEo5n1EKM6TW1ND9oatagw7CDE4hhSzw0FVBX1IkkLjiayHgClBeirDs8C6uclB4GBLwnVEweTjrDNg576KWHZ/kmmEGKrfo9Xso2VAV/preFKenxap+Q9yNJvbjSwN0OGzPnYGqN38JToyf9/eiXJJSqiPaHow5n8UIGA0oTP2sO6VjQdarm5IURaglDvtcHv69viCv/H8uJu7dEPKcllzyl31LyeC5+5K84vWLuwhfi0bqbY/9U7j3orECilyOgMknoqbpS8pAZomMQNL9yi3ePKv2SjC6OGwrEG7S6GIW6Rg9ErEkwKt0YQzI= kbs8cUEArIzl90tKMNafbYHxVlWcZSPCSNHpyr79Ghet8cA3zN2g8pM9FKB7U4TQaxwCptcELlCLEqij9G39SnL+KuKO9adY8zD9IqZic8HGZd0xaAtW6TswGU5lqPr7QwLI7k6bdO4eE13xWhxhk3G6B50H48YzYcFoQNYnAUrpowUGmkKX6ZxMZI++JeEa8XD4ukkMJ6AruMTx5Dskd5JoEasvdGd0DO9X+Sy3uN9QZEALS+UUlpLJ3+jZvF5gKS4mQFCmbiTOOuX8N9aBVqhoGkDHA4C1Wt69k2pmuik9XLZRg5QdqOc2Uf3eFZACnsJ/r0x28tY5EQeD69rauQ== Ug6i3lldBqk495UIG3GZJciiHhucHPpIqSficrYaV6wN7wS/cKWZrZFo1EPFnga9Ksa2+scrqQfki1bj/MFCcPOUXp68WrSBfjIznsmsn8ZUXf8EM2gh3DICZVH+Pe0nR4dC5loIH9zw3nG7RHNoBf6dK29KrwsHf8MHJ/rf1wLsTuM2QPGOxEUQ48Jx3Cd+nbnaq5A2Jo3p3AqYKBZVohWcKIYSKbPW5avkPM6+kAPOMB78vLffyzJlx88DIwnMRbzsgIi7JRdCQlzAzfkNGhJMB6F6qRecZkmyzav4C1UpYuorkB22uU96MVw8a/ZJ
0.05分

自由落体下落时间:=(1)s

datafill 9.63 TtDFN7j8gKdJw6ZT+oEdwwKNgAdikOtFOANQ0HFmV4uTMWT9Wp/nDwtLNy2zypRfittWJLSjpNsPCtqSCJjwrRe7f6rDJJcTaWsyAoJMaZB4AgeX5OWv2B6LCKB8LocD61cShwXcrBHrlDGEWl0ICy60fQkvAarFdufJZQbljV+qpNOqv8XKVLnr8LgX5znNj8zt7V0g10y4+bv9unxk/90ntLlzBkH1ddYE564Ltor0plsD1+ekYf+KcFdpDFzZWNR2Ad6O+huw3R92ATyXoA== nSvZoqxgHipT88kt4fm8aXHaAY3XBjwA/8z6UE4NG4iManPiGBjJr2kJZMDLCGsCXZM7Y1GqcXx4jJVW+Sxmw1qJ5uf0j3RPPemIfBDLOnmzsLPk0pHhIlI6Byc9rNoUXgVwWNeO1iol6geVTW+DBaHMUptr86R5oMEocLYSEhXcAA22mgs0Im3aajuWW3ACLxAuHgcLpuVbB6LNjCB2W40SpGQypLYthJNOo2DIUgLsnJUGhCJGOakfQMipNsLBk8sPi4pYM0B0Afy6Cg3mbptm2gOFCOuNJTZ/3Iu6BhXf2frdcknLJvtEmB2uOb23yViqCuyTvYIavcKsU9dTgzfHPpS6Coz2fQFffnO8eWH8o5Ge4TMd1ZfYPTJ6Zh8wycrpRh9if+JyXVh9M4GvT/4PCMJ+eXJg0/6wL37KALHKhBnJgbRTj0ekxsJyju4ZWxYiT0H4SBH/ZayZCe22chjp5wcPiGx5cuOJCRCs8yUozAabuYXM1CrjOM0AfG2OYhgpMmm9c6uwSrnuS7UP1Lq8VDBAH4jUtdWC0/gNJSzl9bPDgsFIkWfjvgEhvK39g7KEP46IvAvg5gC3lqvEj7a8r/SIwkxWE00wgp4yswP2Tl0zXhGPjoyzYloluWlJ0ChmNCFjaT+72pYG5HfGSpGUDOzpaNF2VriclSoy3Lq8uOxziSZlt77ja0PxpCLkBHkE+yU3m/Z58Bfu8Bv41hNY+QcnOoTw6c2pOOMp9Uivg5dBU3i5Tm483tomVajYuk9+5J7IwBohUfepB4Thqm3LbNC7w05coTsqYkrPNwlD5+5RmTfRLPZlCbNcoeb/lrW2O8GMnpKP1FsaXhLaoy2HGkCAhzrZMKgKpQ1yMEI4cymF98TlULzqFG66XgMSzDhW8D/UVWem6sAohj8pcaDBAdaXNGjk9BTWL+Jhve8= kbs8cUEArIzl90tKMNafbYHxVlWcZSPCSNHpyr79Ghet8cA3zN2g8pM9FKB7U4TQaxwCptcELlCLEqij9G39SnL+KuKO9adY8zD9IqZic8HGZd0xaAtW6TswGU5lqPr7QwLI7k6bdO4eE13xWhxhk3G6B50H48YzYcFoQNYnAUrpowUGmkKX6ZxMZI++JeEa8XD4ukkMJ6AruMTx5Dskd82aHnPrtqIc7Qz1HEsyv9TzyeHdh+64K7XmCYZ78xYbPiY1hLYZOq50t2m0CcYI9KZIH99/5T2CMXFmOFAcugpBYCM3jt2yz0cXbcYi1uJBlYrRZQs+SJQBgV20mR1bvg== Ug6i3lldBqk495UIG3GZJciiHhucHPpIqSficrYaV6wN7wS/cKWZrZFo1EPFnga9Ksa2+scrqQfki1bj/MFCcPOUXp68WrSBfjIznsmsn8ZUXf8EM2gh3DICZVH+Pe0nR4dC5loIH9zw3nG7RHNoBf6dK29KrwsHf8MHJ/rf1wLsTuM2QPGOxEUQ48Jx3Cd+nbnaq5A2Jo3p3AqYKBZVohWcKIYSKbPW5avkPM6+kAPOMB78vLffyzJlx88DIwnMRbzsgIi7JRdCQlzAzfkNGhJMB6F6qRecZkmyzav4C1UpYuorkB22uU96MVw8a/ZJ
0.05分

第三个油滴的半径:r=(1)μm

datafill 1.18 0VSxu/x0j9Yu+uXuJcLRps+I5VOkqgftHPDxm0zW0h/19mu+Whx2g2zs557T3L3T7334LEvV6LyVScHX+5YMTu3y7A9uJudL9gWe4GZZ2sfOHw6evC0lTQ9gff8PrYQ970YIEjILdTdl0pGVqu7Xo3biIBe+JMCFM84t/NIoLjAscCv/VZTIjaGhXQEKOHqId/HbnmConSl9/N4kiB90SKggBtXNZU4f0CoIfPS6geMY3nnHUJMRj0oGJx6oOHR7lHOYmfXzWiy6E4B0130aDsgTvdMZU2RJbmA2oUWlpgxh5EHvzZErl0kVQjEe6JGM nSvZoqxgHipT88kt4fm8aXHaAY3XBjwA/8z6UE4NG4iManPiGBjJr2kJZMDLCGsCXZM7Y1GqcXx4jJVW+Sxmw2bVjo5oBglysLVzNNXWy8LbGdi3O7PCJHauTlAKzLLQnkEJN6FOUOp4PN67+EvDvHXy1TR9odkH/btMEbUmDN1faO9bZ7shBkQ39W8R/WhEAv8tyOKW7iL1flf+BMgcRP+vGTxuINfvSljGqJcBPZFhsx/KrQ6DcA7CAsiZy+plNR+DT4zTX4Iw9VbFmtDqY+aj5awMODlWBC63JvtPm1tYYg8aLeI0Nll9LdVojhKnVpBz0/fADsMrfDBwsBeB5px9D89sbBHcMlNINISqZ59ky89kBE5vqclr1yPcKqeDNkPLxUSJzZBGeupoN1Fd+eS94mp2gSpy9eQ8b9D+33X4NlBoHCMzOWusl915qELXrDNLzE8awBq3LXKUDL4fU3Wno9nGG6Q2RE2j/Q7aQjNz6h9KQsupUuKx/GuZqH1jWI0vyV48pHksu2+Wkhl1zdwDvPmqwHhezVHXluumhmZp4paW5QrdpE3EnFjySLCUSIOvf/SLCiCUWZ1tbrzD5Bw0v4S30NqclH+OOPopUDmwy0vO4WvMliCGoHPwUBgGHUbAX7RPPhVQejhm25HqReIlH2+RE0ns5eZnI1h5yM3PdiCr2g/z0rUC9Pakef0ObJxTXFeck09ucuPejt1i9qpNiU4ecs7t1TMq+gHD7fv/N9JDcqvbG/cBRC/7NEhtHrMT3J3KIWFaKVeRYk/ht5w/Nqj99tAwHqjnvAh3D5aiqcby5JufTIU/S2iURc9/ kbs8cUEArIzl90tKMNafbYHxVlWcZSPCSNHpyr79Ghet8cA3zN2g8pM9FKB7U4TQaxwCptcELlCLEqij9G39SnL+KuKO9adY8zD9IqZic8HGZd0xaAtW6TswGU5lqPr7QwLI7k6bdO4eE13xWhxhk3G6B50H48YzYcFoQNYnAUrpowUGmkKX6ZxMZI++JeEa8XD4ukkMJ6AruMTx5Dskd82aHnPrtqIc7Qz1HEsyv9TzyeHdh+64K7XmCYZ78xYbPiY1hLYZOq50t2m0CcYI9D/Sd4FT3CJ1+l6oUnnCF3FTefqgp7s44geiNVkwVJBV85M3smY2sNgNC462Y0JcIK+N2jgCnZ5TkgZZRLFVx0E= Ug6i3lldBqk495UIG3GZJciiHhucHPpIqSficrYaV6wN7wS/cKWZrZFo1EPFnga9Ksa2+scrqQfki1bj/MFCcPOUXp68WrSBfjIznsmsn8ZUXf8EM2gh3DICZVH+Pe0nR4dC5loIH9zw3nG7RHNoBf6dK29KrwsHf8MHJ/rf1wLsTuM2QPGOxEUQ48Jx3Cd+nbnaq5A2Jo3p3AqYKBZVohKe67gtErX3XhZRVv/Qru2LHoc3gOjzA/qY5LBmVc1C
0.05分

第三个油滴的电荷量:{q}_{3}=(1)\times {10}^{-19}C

datafill 9.61 MjTc6Coiu920y1LYMpr+VVhwg0vEqt6byxk7D19zNBd1XmdrcAHbLNJQOYQYHn9UusJLfQEOgA/uAO3GB4WqpwfUggkRXOmr2XMxYtR2DBMGi86zrHHNnJPA1eqplk8IaBUPifSDsQgzYBuMm5sBTb+IRAuFe+m4u861nOt39YA3ZYiCUAtyQkHErbmkoH2SAEuQO2ki5jwZE0OzSNd+b1Fo7p5cXKxypyRJlCMzp01WhKSG2gUibL48UxDGOianEv7Dctz6plqtoyJ1Ox6ZBBrNyOQpxnlc7xwjL+iGljxjA5dzZCGw6pIXnk73T9kSRjmWQE1qZXXFmskdE1xRuqzI1iRUcwoRzr9do869Y01ZNpFiQRdOj6Utsrx37sw0Sf3svSpo7DpbOJa7OboVM+mYN1s8z+n+/+HC1vKdNlBaAKJR0kxfgJyY3klsDrnGZF7dQLXRbFxMYJ5Yp34pMOPRwe4d3Zo+wNfKe+bBr8KTMCJ4XBXIykZQ9h20m0TH6xWg5wAYgQcg0RXhCDfx/55Y6KOL5t7ZG2/l8nviP5TG7RLnl2Rhr38pMEwTzRt1ittwpqYNWIMD5kQoO12z/gNq/rC/yIuc0EGHHCS+kcZC2cFU7t3Q3JrtBv/BHCs5eYcWJJ+QLUCUCUy9L/EhXJGMazpky6xsJrKwsDrJ5Czz9pn3T/hDja/D5IgzeA6BXtObMDexAm+aWYmOQw0lmQ== nSvZoqxgHipT88kt4fm8aXHaAY3XBjwA/8z6UE4NG4iManPiGBjJr2kJZMDLCGsCXZM7Y1GqcXx4jJVW+SxmwzIsPaYcB+Cs/eNMIToRfceFsV6I8J4NBMa22MIFYlw5aCnsUlE65TK5dHzKibKb5sdJPDet8RCC3CEMT/EXqd2eZ+Ysi0efizhMeCl9TOAsxDOVssZ6V/UXzZaqu17SJQ8ny6cHQoLTOTuiwRcu6gCpZVgrOY7tO6+UsCudv+CKL/27aE/WodS433ZpNJSvNGH2R9YiiTsCF94SIvETWbrh0IzoG1GYkGbY++qGY1C73tJ5UBt7FWaHRmybOIr0wMD6PYczpuYXTD/mnmjd6U67/nvWduWmfuHdJb49wQzDwgVd1MX4ryvT1ByzXBsYFVJBtjLeKqKVnFuBYyi9VsaXrNaemtD7VemHRPpVa9UglGSonf6uwTXM2OrXWdpgN1REtozEB5iX9+3ksDhCm4gdmlO6Vnome/8rNAmIUGzrNKNlaKkth8dErqVco5EY8C7wY9l638+d70ETV1e/G+p01aoT3AyJKRNXoKy9ndEBg2WkITbaDdgeazrm2FQHO2PF+nCvkQq3lprQVi1VLgt3eW/LbpxdZruEdDaF+zhIKKb0M9l9rYrqZVM28qPkK4l7EonZtCfogSjCtFy6nTWcx1pWIeP+2qEVyGm2h8p+sWfyHeNHzcsnZaaUiBd0q2wtK8t+ZFGfPlSUNBfEZVlOXrRIXjhHh90cwQ+0lD/2RSTFsT128FVsqmHmHZkPkYc/gbEtxZ/wIHO5EG/IFHk1aZ6AH9pM5WPViQzNxoOzroy18v+4lgwGkFuKHtH4XLji95ReaxNuBV8gzy5KgKGgKdmsYeJLOFgmall247u3aTVA/YT860iRHV+luS2tMtdS5t3XAFBkvO/V2c7ldTxVDucQ1QSsHwq4NvQfNRxE kbs8cUEArIzl90tKMNafbYHxVlWcZSPCSNHpyr79Ghet8cA3zN2g8pM9FKB7U4TQaxwCptcELlCLEqij9G39SnL+KuKO9adY8zD9IqZic8HGZd0xaAtW6TswGU5lqPr7QwLI7k6bdO4eE13xWhxhk3G6B50H48YzYcFoQNYnAUrpowUGmkKX6ZxMZI++JeEa8XD4ukkMJ6AruMTx5Dskd82aHnPrtqIc7Qz1HEsyv9TzyeHdh+64K7XmCYZ78xYbPiY1hLYZOq50t2m0CcYI9GpxXPPfL7ZcBOjI+b3g3IK2h5i/XuVAcFSVdNEGvt4L6t4Q1awD7dPslQtU3EYsrNdUczuJmdvt4vvVXJHzVRs= Ug6i3lldBqk495UIG3GZJciiHhucHPpIqSficrYaV6wN7wS/cKWZrZFo1EPFnga9Ksa2+scrqQfki1bj/MFCcPOUXp68WrSBfjIznsmsn8ZUXf8EM2gh3DICZVH+Pe0nR4dC5loIH9zw3nG7RHNoBf6dK29KrwsHf8MHJ/rf1wLsTuM2QPGOxEUQ48Jx3Cd+nbnaq5A2Jo3p3AqYKBZVohKe67gtErX3XhZRVv/Qru0LxQ7aAJrdYFGNIelz1nBK
0.05分

第三个油滴的元电荷数:{n}_{3}=(1)

datafill 6 0VSxu/x0j9Yu+uXuJcLRps+I5VOkqgftHPDxm0zW0h+z3PvGONojf+rmj/jYWkwAakJvgRWAP56vjKmzDrz5ZsDXB7NhIS9tHcQ8A0IJHp1gFlHOaxcSwe4xyAKEqKIDX76lwei24tvX6DXcW2XJyAXEg8QPPU0KVRhdkDwfc3Yl+/vnJlHd//kCuTX5OBFg nSvZoqxgHipT88kt4fm8aXHaAY3XBjwA/8z6UE4NG4iManPiGBjJr2kJZMDLCGsCXZM7Y1GqcXx4jJVW+Sxmwwemh3JBBaxQlXXZsE5rXTirUYu38CHs3BwoYXIZx6W3o8UZTphAKzoZyB3pJS51sSyiZQy70ojJUaNjod8nHml1oBUIOIA6n18ye1ouD2/QdcA1wU9Mi5DLThUT8ipZfDAMXNNUqnt+2lXTb/jDreZHfZhcw0pOAtxuIim+mqHvONzKqqE5zKpgLSTrjV/pqKRNtPNuYkyRwGVWmPKaaP5f5CF/W7g1MJtmSyEZtkGcc3XNT94jgr6Xg0VMAwp1GmcqrgdTOE7+sLNEyx1APFe1iBMvQlSnKbHgloxnD7oc6bGicqMVADx02erIIMOxxUlT/+XT6LI/0lsjyWc7BDrqtwokBk+hheKiTRm8GppL9mhBlVGp3oTd7XfOgU0SAm/EQdDYJlfE3lYsQMMYgPI= kbs8cUEArIzl90tKMNafbYHxVlWcZSPCSNHpyr79Ghet8cA3zN2g8pM9FKB7U4TQaxwCptcELlCLEqij9G39SnL+KuKO9adY8zD9IqZic8HGZd0xaAtW6TswGU5lqPr7QwLI7k6bdO4eE13xWhxhk3G6B50H48YzYcFoQNYnAUrpowUGmkKX6ZxMZI++JeEa9/ku8zzdxHlgivPCb4k6e2bf2M+CQTF4Q4x8fvlGaqbfShbo0/UxmXnwFfeZPNAYBGpCgJ7kLJgSNJoTyNFBxebOGiL244LkNPPAmCNx3Tg2tabfvdBulHlpuSb5EmQc Ug6i3lldBqk495UIG3GZJciiHhucHPpIqSficrYaV6wN7wS/cKWZrZFo1EPFnga9Ksa2+scrqQfki1bj/MFCcNMThYaHFINaq6DFQDspAYgrDqefKkA2X2CCmQOd5zF+UdYg35HUy9X6QUIsIm6v2aMLLBNNNALVLdpv7+cwsPs=

(4)第四个油滴测量数据

原始数据表格:

测量次数 1 2 3 4 5
平衡电压V/V          
自由落体下落时间tg/s          
table 280 280 280 280 280 22.11 21.85 22.30 22.01 22.48 HLLIPGEigCS9uQcpleVWHQ== HLLIPGEigCS9uQcpleVWHQ== HLLIPGEigCS9uQcpleVWHQ== HLLIPGEigCS9uQcpleVWHQ==
0.05分

平衡电压的平均值:=(1)V

datafill 280 TtDFN7j8gKdJw6ZT+oEdwx1vKkKzJDK3y5+EMj0sC47+nkHcfINK6nkPl9QzgpoFSD3hDCpqNi9vN02OuriQMs7JLsDdZ/zE0fZXwhAVHCwAHXg3tJ1I2JYPMczIj19r5VFQcb+S081SeQnexbxsPl69NueOa1Gc5FIfCnqdUCWcBVV7PcSsggFoiac9PL9dsRRxLPO+j39k2AdX/hqpV0AEOCfaWS1o51ViUg+l81/F/Za3/tt/XC3WuXo0rI2Z+FOLIT0wpOK5tnx7BhhGJg== nSvZoqxgHipT88kt4fm8aXHaAY3XBjwA/8z6UE4NG4iManPiGBjJr2kJZMDLCGsCXZM7Y1GqcXx4jJVW+Sxmw1qJ5uf0j3RPPemIfBDLOnmzsLPk0pHhIlI6Byc9rNoUXgVwWNeO1iol6geVTW+DBaHMUptr86R5oMEocLYSEhXtvCyGglj8jkWCLiwrVx9wpHdGwAMjdu8CFMCdvpN6OOCtKi9F417MIBRj1QzblCBINBYRYp/HB0vOpaAG2G9BVV7ehNHT/B6TTEPxZYEmL3At8qVkCVda/NFIoKWHkhVH5xp6XW6Qe/OUxWOi4wDL22nhto4MD4jU2vDF0sosrujKmHFpyGyFxrU6qbZ7mo+Z9G+pw0QTNJrKqqrOr0DdIsywm33oU/W01wSxINaSIpKEg32wQFzx1BwqUQ9mzkTNVuP4AxysPjVQzMVVGqK1NOb9bX/zBcfCT44io2whVryoeATRffVTKdu+Z2Z70I6SgpgHQeoKA1M4FKkrZ2/EOUaMzfyCtUc9B1KhQkyfZXrElslw+27IaR6Bh9USaioKwSrtT73uIKx6lpiee/T8JaqZmivOE04SbTvRH64SZ9Dztw9IxgDGsCsBPwRJk6D/tM/NCzrorIxO4i9wi9yi65i1fzerGqnwN/Yer6BAvOxdQpvwsu84GCWtFioBTQZxHGjNFg1fG2XOpFUFt+poEoDN/iMZtHqC7S9PJ3jcVnGmYuN645NJj3FJYhyJFj7yLxIIwhfe+qqe969fCtfhsP00d4Pxv/earRQVOrUL+FiWbEdWoU5kBUshnnpWBPLBHxLLJlgDDUDowkUBE+mk257dZNdFXUuxDKu/G8Tx5ykZ01lgEzxB7fWXXuakqBL0APVHajCV6G4Hi9R/V1Kbugzw+Cir4aAD4k5tJAVrEQ== kbs8cUEArIzl90tKMNafbYHxVlWcZSPCSNHpyr79Ghet8cA3zN2g8pM9FKB7U4TQaxwCptcELlCLEqij9G39SnL+KuKO9adY8zD9IqZic8HGZd0xaAtW6TswGU5lqPr7QwLI7k6bdO4eE13xWhxhk3G6B50H48YzYcFoQNYnAUrpowUGmkKX6ZxMZI++JeEa8XD4ukkMJ6AruMTx5Dskd5JoEasvdGd0DO9X+Sy3uN9QZEALS+UUlpLJ3+jZvF5gKS4mQFCmbiTOOuX8N9aBVqhoGkDHA4C1Wt69k2pmuik9XLZRg5QdqOc2Uf3eFZACZnWp3DBgQrrqY9WlVwLLjw== Ug6i3lldBqk495UIG3GZJciiHhucHPpIqSficrYaV6wN7wS/cKWZrZFo1EPFnga9Ksa2+scrqQfki1bj/MFCcPOUXp68WrSBfjIznsmsn8ZUXf8EM2gh3DICZVH+Pe0nR4dC5loIH9zw3nG7RHNoBf6dK29KrwsHf8MHJ/rf1wLsTuM2QPGOxEUQ48Jx3Cd+nbnaq5A2Jo3p3AqYKBZVohWcKIYSKbPW5avkPM6+kAPOMB78vLffyzJlx88DIwnMRbzsgIi7JRdCQlzAzfkNGhJMB6F6qRecZkmyzav4C1UpYuorkB22uU96MVw8a/ZJ
0.05分

自由落体下落时间:=(1)s

datafill 22.15 TtDFN7j8gKdJw6ZT+oEdwx1vKkKzJDK3y5+EMj0sC47+nkHcfINK6nkPl9QzgpoFSD3hDCpqNi9vN02OuriQMmgGRmSqsxLTyxCy5vUGjNMQzgSSTWoPqEJ6dwr+98X/xA9Ai4BBTSiwzBz32mrtwsfv2vzhCJn+fibEZVkFDHRuB/+dwhc+hLDEYjkp7tACCPK5HCC9rCvpy++0sRECCvStPnXOxx83Jxv5yCVusCcZC4iv0lNBh7nZUok/8e5AGW9CYMpgF15FRen/w5kRzg== nSvZoqxgHipT88kt4fm8aXHaAY3XBjwA/8z6UE4NG4iManPiGBjJr2kJZMDLCGsCXZM7Y1GqcXx4jJVW+SxmwzIsPaYcB+Cs/eNMIToRfceFsV6I8J4NBMa22MIFYlw5aCnsUlE65TK5dHzKibKb5sdJPDet8RCC3CEMT/EXqd2eZ+Ysi0efizhMeCl9TOAsxDOVssZ6V/UXzZaqu17SJQ8ny6cHQoLTOTuiwRcu6gCpZVgrOY7tO6+UsCudv+CKL/27aE/WodS433ZpNJSvNGH2R9YiiTsCF94SIvETWbqpNWQgBBO/3E9qxiT5+H20V/4HrgeKGn6PNZLGB21KStwYHtsa3DYLqpj+bx/gVw027tY2pHwYG2rg4qg1YHV5RapX3biKe97lnzMbfWVt0QF+HdBgU3tNJHygrAdogdmwXAZ9SqA/jlKTTLzXu6VRavQLkd5HNvyDChC5LkPSBk9tBPCHyDhXTn8nvZogz7BVdkffgIR4bV4myI9SDD/tRSRd5oAF4AjEUoO7JLiiPIb2gKBdCcekG1JbWZuWWIAxAVQ0Td9etOoS8Jb+Wb187eBUBABfmp9qCUMYaevRRQql+QaotHqPibScJHrN8zQ555OAhL/YhBPUILYMlnxs22oQcWBVbJmpZGFSXU6CSGwu/ucHuhHeYBlGA5yKqi7AOh7dE4HbcQca4Pj+2KgSv6SYUGEXHkqBn3EAAvSaz7tDE+W1Kji2w/nEIVk5erafp2utdZgE53J9QWUsQAHoalImExQrRmtbThl+wQmvx/BhG7dfAl7CqjSUHtTbPmBRiLtPtHm5FzWwjynpQeKysPMH8gEdHQdCJwZxzkqUo5AVHRqlVZQl0GYVLW3YRcOuO1XXSrTmtamUuGQMk5Zsg01C2Oo1iANzAmv9YfdNzdFhRvht7cmHtvEQwniDYDSrHAzVwUT6/f3B0TFp1L8PKGBuv4ZcKGwv+hRBJV4kcj9iJLFPmqiERKtt8ClF/rqS3n9XKacy+/zHqDmIv0IoxTUf7P9LZzY5/wHZemkBEmTmCynC4z02TxuQafw0+mlQsPblYlNjySRg00gTADwb kbs8cUEArIzl90tKMNafbYHxVlWcZSPCSNHpyr79Ghet8cA3zN2g8pM9FKB7U4TQaxwCptcELlCLEqij9G39SnL+KuKO9adY8zD9IqZic8HGZd0xaAtW6TswGU5lqPr7QwLI7k6bdO4eE13xWhxhk3G6B50H48YzYcFoQNYnAUrpowUGmkKX6ZxMZI++JeEa8XD4ukkMJ6AruMTx5Dskd82aHnPrtqIc7Qz1HEsyv9TzyeHdh+64K7XmCYZ78xYbPiY1hLYZOq50t2m0CcYI9KZIH99/5T2CMXFmOFAcugpBYCM3jt2yz0cXbcYi1uJBlYrRZQs+SJQBgV20mR1bvg== Ug6i3lldBqk495UIG3GZJciiHhucHPpIqSficrYaV6wN7wS/cKWZrZFo1EPFnga9Ksa2+scrqQfki1bj/MFCcPOUXp68WrSBfjIznsmsn8ZUXf8EM2gh3DICZVH+Pe0nR4dC5loIH9zw3nG7RHNoBf6dK29KrwsHf8MHJ/rf1wLsTuM2QPGOxEUQ48Jx3Cd+nbnaq5A2Jo3p3AqYKBZVohWcKIYSKbPW5avkPM6+kAPOMB78vLffyzJlx88DIwnMRbzsgIi7JRdCQlzAzfkNGhJMB6F6qRecZkmyzav4C1UpYuorkB22uU96MVw8a/ZJ
0.05分

第四个油滴的半径:r=(1)μm

datafill 0.770 0VSxu/x0j9Yu+uXuJcLRps+I5VOkqgftHPDxm0zW0h/19mu+Whx2g2zs557T3L3T7334LEvV6LyVScHX+5YMTu3y7A9uJudL9gWe4GZZ2sfvyBdeuo81i+YK150G0Q1FJM0Hib9+nU4O9KxVNjWRlEODypPDs4stFjhGy83GdM/85CeCD20prQOXpek7eYiG8A4pHhdGyaSifm7SMD9KykonU3u44YGwnL84omfi8kjBxzk16zSsUJirMDp8/O22OneU+Xcyte6cokN2ZeWBHy/LLeit6ZWrC8WYSgIkOIQFkqFTYR/JhQ7/I/ompvc4 nSvZoqxgHipT88kt4fm8aXHaAY3XBjwA/8z6UE4NG4iManPiGBjJr2kJZMDLCGsCXZM7Y1GqcXx4jJVW+Sxmw2bVjo5oBglysLVzNNXWy8LbGdi3O7PCJHauTlAKzLLQnkEJN6FOUOp4PN67+EvDvHXy1TR9odkH/btMEbUmDN1faO9bZ7shBkQ39W8R/WhEvYwka3cGQSRI5T0By1KETwwJ27PTQgtJVCCmw0ikvbV3Y8v9ODkF7G8J2gyxYDcPvKCn4jjH8r4q3dqsAmwvye78pxiSYXz+wS7DMzq3UGpxnJ5MwKaY7irFGXP7oiwXjTNftBJRl0N2Ar0UFMLesnwcCm8tWa1L2u862MB55mi99UNWw8vLurRhA6hYx8LWcykG/FmOEJLpxmGYOpqmRjLllA/A1HkuNQtpqVBnYZgfyqaeE2GsR/DPaWNOnDqph/ufFSN7BbCldoQxHYjjBlfXWai0oc/hLr2pHOXefdi4CNrKtcBRSIZJMM2Tj3hiYvrlb64y7TJIL2Fdzbs+AmFH6NDnhFxdsi8CekV1vKrRmUIr7Fu0xWW8EhpqkOgB+Oe8qxRlbfsQNNc+/0tUMDS5ukGajjSay3ZCYw9ZCC6cubWmdZFWK3GVd/lqQr2V8QmVQOyqKDuEc3zSuNUlwZOsa+M9ONOs3gZ0yJncpCwWnPQPBtoQtW1ZB7wi4FqqQnXplq3uzr17nXMFD16XVUqSCU3MJ0rDj2e2iq/JQuBKURWfI0nU1JRte9OQZVHwD8GzPcd5Hw02hwbb3c7K2nGyXY9o2DckjjqhorJGZYKXldfVcFivsqBnCE1xRpft kbs8cUEArIzl90tKMNafbYHxVlWcZSPCSNHpyr79Ghet8cA3zN2g8pM9FKB7U4TQaxwCptcELlCLEqij9G39SnL+KuKO9adY8zD9IqZic8HGZd0xaAtW6TswGU5lqPr7QwLI7k6bdO4eE13xWhxhk3G6B50H48YzYcFoQNYnAUrpowUGmkKX6ZxMZI++JeEa8XD4ukkMJ6AruMTx5Dskd82aHnPrtqIc7Qz1HEsyv9TzyeHdh+64K7XmCYZ78xYbPiY1hLYZOq50t2m0CcYI9D/Sd4FT3CJ1+l6oUnnCF3FTefqgp7s44geiNVkwVJBV85M3smY2sNgNC462Y0JcIK+N2jgCnZ5TkgZZRLFVx0E= Ug6i3lldBqk495UIG3GZJciiHhucHPpIqSficrYaV6wN7wS/cKWZrZFo1EPFnga9Ksa2+scrqQfki1bj/MFCcPOUXp68WrSBfjIznsmsn8ZUXf8EM2gh3DICZVH+Pe0nR4dC5loIH9zw3nG7RHNoBf6dK29KrwsHf8MHJ/rf1wLsTuM2QPGOxEUQ48Jx3Cd+nbnaq5A2Jo3p3AqYKBZVohKe67gtErX3XhZRVv/Qru0LxQ7aAJrdYFGNIelz1nBK
0.05分

第四个油滴的电荷量:{q}_{4}=(1)\times {10}^{-19}C

datafill 4.81 MjTc6Coiu920y1LYMpr+VVhwg0vEqt6byxk7D19zNBd1XmdrcAHbLNJQOYQYHn9UusJLfQEOgA/uAO3GB4WqpwfUggkRXOmr2XMxYtR2DBOf1JoPLHYb75jRLa7QfuU9jCxplZvd/bENnTesck+DctGFSLUBG8i/ouR2mUr+rqKMNE8P9vWLh6XD4le0mApjoOGet8bUn/4POB+jLrlqVInsVcY9Rhxk+FrVUwjaauT9tqnbFCJRFu8DWq63d0fATN6EfMii2W3597zqS5gpXxz1c6Zjpl53OMNOzilpAc56oH34RDfDteCxPqrDPFdITzolPWZMfcLP/WV7y01YVX9BtdA+ch4oIZgynIgHwipvnabRRC/JTu7uPoJtfsOFrWfsgUd0ck8U+1kNEM+MtE5MuFZata2YYSqD+lKRQGPz4k4JEstC5a/zWHuSftgdZHvlDJAFjBZPbYuzqxjDFjBW1PboaUwOtHPvUzd1rCdGEeLiB/5VTTno3+1pCNDhopWmAlEQcYZeJMjVviFfzQcxobRyJ8qtnzw/Vy/+c5oOrq/J3nbdKe6i1yKF9Z/RNf/g2jIV3KA1Yq57Rz1Zt59gonG//KhgLcbm4ZBgWU747+8bzNXRQqtxXnDFNeYjZWWurYytSr9rr42R9Fll3qT5uHrjLNmYdk+QBq6G25TGxwkuUyibqlpE8PJw2TTYPSwKnHrVhS6FWDQxfpV6GA== nSvZoqxgHipT88kt4fm8aXHaAY3XBjwA/8z6UE4NG4iManPiGBjJr2kJZMDLCGsCXZM7Y1GqcXx4jJVW+SxmwzIsPaYcB+Cs/eNMIToRfceFsV6I8J4NBMa22MIFYlw5aCnsUlE65TK5dHzKibKb5sdJPDet8RCC3CEMT/EXqd2eZ+Ysi0efizhMeCl9TOAsxDOVssZ6V/UXzZaqu17SJQ8ny6cHQoLTOTuiwRcu6gCpZVgrOY7tO6+UsCudv+CKL/27aE/WodS433ZpNJSvNGH2R9YiiTsCF94SIvETWbrh0IzoG1GYkGbY++qGY1C73tJ5UBt7FWaHRmybOIr0wMD6PYczpuYXTD/mnmjd6U67/nvWduWmfuHdJb49wQzDwgVd1MX4ryvT1ByzXBsYFVJBtjLeKqKVnFuBYyi9VsaXrNaemtD7VemHRPpVa9UglGSonf6uwTXM2OrXWdpgN1REtozEB5iX9+3ksDhCm4gdmlO6Vnome/8rNAmIUGzrNKNlaKkth8dErqVco5EY8C7wY9l638+d70ETV1e/G+p01aoT3AyJKRNXoKy9ndEBg2WkITbaDdgeazrm2FQHO2PF+nCvkQq3lprQVi1VLgt3eW/LbpxdZruEdDaF+zhIKKb0M9l9rYrqZVM28qPkK4l7EonZtCfogSjCtFy6nTWcx1pWIeP+2qEVyGm2h8p+sWfyHeNHzcsnZaaUiBd0q2wtK8t+ZFGfPlSUNBfEZVlOXrRIXjhHh90cwQ+0lD/2RSTFsT128FVsqmHmHZkPkYc/gbEtxZ/wIHO5EG/IFHk1aZ6AH9pM5WPViQzNxoOzroy18v+4lgwGkFuKHtH4XLji95ReaxNuBV8gzy5KgKGgKdmsYeJLOFgmall247u3aTVA/YT860iRHV+luS2tMtdS5t3XAFBkvO/V2c7ldTxVDucQ1QSsHwq4NvQfNRxE kbs8cUEArIzl90tKMNafbYHxVlWcZSPCSNHpyr79Ghet8cA3zN2g8pM9FKB7U4TQaxwCptcELlCLEqij9G39SnL+KuKO9adY8zD9IqZic8HGZd0xaAtW6TswGU5lqPr7QwLI7k6bdO4eE13xWhxhk3G6B50H48YzYcFoQNYnAUrpowUGmkKX6ZxMZI++JeEa8XD4ukkMJ6AruMTx5Dskd82aHnPrtqIc7Qz1HEsyv9TzyeHdh+64K7XmCYZ78xYbPiY1hLYZOq50t2m0CcYI9GpxXPPfL7ZcBOjI+b3g3IK2h5i/XuVAcFSVdNEGvt4L6t4Q1awD7dPslQtU3EYsrNdUczuJmdvt4vvVXJHzVRs= Ug6i3lldBqk495UIG3GZJciiHhucHPpIqSficrYaV6wN7wS/cKWZrZFo1EPFnga9Ksa2+scrqQfki1bj/MFCcPOUXp68WrSBfjIznsmsn8ZUXf8EM2gh3DICZVH+Pe0nR4dC5loIH9zw3nG7RHNoBf6dK29KrwsHf8MHJ/rf1wLsTuM2QPGOxEUQ48Jx3Cd+nbnaq5A2Jo3p3AqYKBZVohKe67gtErX3XhZRVv/Qru0LxQ7aAJrdYFGNIelz1nBK
0.05分

第四个油滴的元电荷数:{n}_{4}=(1)

datafill 3 0VSxu/x0j9Yu+uXuJcLRps+I5VOkqgftHPDxm0zW0h/K6uiKeiyFsDYpDRJpuJZPbXNSeucaZIyVi37orygrKAba3CT4+98mU/aN0+wB5dj2/QlWKZXsWW1loAqRm7zfgef4kn6i3uLqV4cYLsu+Vw8hwCv6UgAjyZOLNBh9AdKxdsBQCYIfP0pn42u2EFkK nSvZoqxgHipT88kt4fm8aXHaAY3XBjwA/8z6UE4NG4iManPiGBjJr2kJZMDLCGsCXZM7Y1GqcXx4jJVW+Sxmwwemh3JBBaxQlXXZsE5rXTirUYu38CHs3BwoYXIZx6W3o8UZTphAKzoZyB3pJS51sSyiZQy70ojJUaNjod8nHml1oBUIOIA6n18ye1ouD2/QdcA1wU9Mi5DLThUT8ipZfDAMXNNUqnt+2lXTb/jDreZHfZhcw0pOAtxuIim+mqHvONzKqqE5zKpgLSTrjV/pqKRNtPNuYkyRwGVWmPKaaP5f5CF/W7g1MJtmSyEZtkGcc3XNT94jgr6Xg0VMAwp1GmcqrgdTOE7+sLNEyx1APFe1iBMvQlSnKbHgloxnD7oc6bGicqMVADx02erIIMOxxUlT/+XT6LI/0lsjyWc7BDrqtwokBk+hheKiTRm8GppL9mhBlVGp3oTd7XfOgU0SAm/EQdDYJlfE3lYsQMMYgPI= kbs8cUEArIzl90tKMNafbYHxVlWcZSPCSNHpyr79Ghet8cA3zN2g8pM9FKB7U4TQaxwCptcELlCLEqij9G39SnL+KuKO9adY8zD9IqZic8HGZd0xaAtW6TswGU5lqPr7QwLI7k6bdO4eE13xWhxhk3G6B50H48YzYcFoQNYnAUrpowUGmkKX6ZxMZI++JeEa9/ku8zzdxHlgivPCb4k6e2bf2M+CQTF4Q4x8fvlGaqbfShbo0/UxmXnwFfeZPNAYBGpCgJ7kLJgSNJoTyNFBxebOGiL244LkNPPAmCNx3Tg2tabfvdBulHlpuSb5EmQc Ug6i3lldBqk495UIG3GZJciiHhucHPpIqSficrYaV6wN7wS/cKWZrZFo1EPFnga9Ksa2+scrqQfki1bj/MFCcNMThYaHFINaq6DFQDspAYgrDqefKkA2X2CCmQOd5zF+UdYg35HUy9X6QUIsIm6v2aMLLBNNNALVLdpv7+cwsPs=

(5)第五个油滴测量数据

原始数据表格:

测量次数 1 2 3 4 5
平衡电压V/V          
自由落体下落时间tg/s          
table 325 325 325 325 325 13.10 13.51 14.64 14.45 14.27 HLLIPGEigCS9uQcpleVWHQ== HLLIPGEigCS9uQcpleVWHQ== HLLIPGEigCS9uQcpleVWHQ== HLLIPGEigCS9uQcpleVWHQ==
0.05分

平衡电压的平均值:=(1)V

datafill 325 TtDFN7j8gKdJw6ZT+oEdw48hHc9Y37qmIOGH5E3IWfggs6ikWXGzMTRmCP9dEMDIDWR3tp4DyWzWYKmaZGUmHsf2YoeGth2CenlY3XS8gXwBFqWcOEkK2VC0mkrBMH6Nxv+raVn1M5CnSHOTXQHLLPt1mvF2n8iyhIhQ/EbzOxfMaEpEwYoRM1M6pA7hJHSz1E7mhYEacdYWF139g1IG5pAB66hN1nKKdm7+dvHFifynG+y3OgReBmjRRs4+EM+El2BOI5bTR/tAOib4NPt6DA== nSvZoqxgHipT88kt4fm8aXHaAY3XBjwA/8z6UE4NG4iManPiGBjJr2kJZMDLCGsCXZM7Y1GqcXx4jJVW+SxmwzIsPaYcB+Cs/eNMIToRfceFsV6I8J4NBMa22MIFYlw5aCnsUlE65TK5dHzKibKb5sdJPDet8RCC3CEMT/EXqd2eZ+Ysi0efizhMeCl9TOAsxDOVssZ6V/UXzZaqu17SJQ8ny6cHQoLTOTuiwRcu6gCpZVgrOY7tO6+UsCudv+CKL/27aE/WodS433ZpNJSvNGH2R9YiiTsCF94SIvETWbowOGz/rYaLUekoG2cHROYGtdKDBYZdy2iMYfoAo1WmQEQg/dZztphCCVHUbwxJUeVcEu571/5hEuPnM/T5jDcmuneJRpgDDQs5ERtGpuaga28O7E1ptsb8GYNU1kLvkUyG8EQTK9bbW9nJ2gEl5FuZG/5zPeel+I8EIpNqSkwnZ9ztrDaBsN2M2uRt88Hf1EfrfqVVL14hxYpkLpfmeFBeAyQgumcGZgoq3RkcgJ0MSADaRD2qtzygHki3Edu7FpOoqMDb5L585HYE7l1cVfQVgn9z0Zfnr9+pKdegzclL0i4aoCKcBD/kD5nCAzDdBUICCT/eSt0F5RVPeQitU1jpqAfUdCHOR5e/O6yw+b8l3w3tvsNQ3QJopfrRPnSN4tgJTE2+uAi/2DETlHyz+eag08+7rCNCPZNEi8bP1cFF5ToS7Zkx3n+NSGAk8qdkZdcQxhJZBP02tgQ43qN9aQB372CyFStahW3y1jdELxG7tDtkMtiZpM3oHFVVjdFp88LJGOmf9b7MfnyFYooGWqaw7DEURuNYLhJXOvTbw1jg3WZq4FAY0pd06ruOi8XsxWX+r+5czW/3sphGsDxphiACjbtxvL7LIyLnnS1wvssx3XXSttD1lhra0ywX0LHzdcQV8oL5d6Gfp5snzA4cMm87URgLFdcLZZgmZs3HFNJwP+xKcVpQzNN/HwtFFcfpJEpdYJxTcGovtjIw2BK92r/n6M37zwehw7+ARMYMY5hJkQ== kbs8cUEArIzl90tKMNafbYHxVlWcZSPCSNHpyr79Ghet8cA3zN2g8pM9FKB7U4TQaxwCptcELlCLEqij9G39SnL+KuKO9adY8zD9IqZic8HGZd0xaAtW6TswGU5lqPr7QwLI7k6bdO4eE13xWhxhk3G6B50H48YzYcFoQNYnAUrpowUGmkKX6ZxMZI++JeEa8XD4ukkMJ6AruMTx5Dskd5JoEasvdGd0DO9X+Sy3uN9QZEALS+UUlpLJ3+jZvF5gKS4mQFCmbiTOOuX8N9aBVqhoGkDHA4C1Wt69k2pmuik9XLZRg5QdqOc2Uf3eFZACZnWp3DBgQrrqY9WlVwLLjw== Ug6i3lldBqk495UIG3GZJciiHhucHPpIqSficrYaV6wN7wS/cKWZrZFo1EPFnga9Ksa2+scrqQfki1bj/MFCcPOUXp68WrSBfjIznsmsn8ZUXf8EM2gh3DICZVH+Pe0nR4dC5loIH9zw3nG7RHNoBf6dK29KrwsHf8MHJ/rf1wLsTuM2QPGOxEUQ48Jx3Cd+nbnaq5A2Jo3p3AqYKBZVohWcKIYSKbPW5avkPM6+kAPOMB78vLffyzJlx88DIwnMRbzsgIi7JRdCQlzAzfkNGhJMB6F6qRecZkmyzav4C1UpYuorkB22uU96MVw8a/ZJ
0.05分

自由落体下落时间:=(1)s

datafill 13.99 TtDFN7j8gKdJw6ZT+oEdw48hHc9Y37qmIOGH5E3IWfggs6ikWXGzMTRmCP9dEMDIDWR3tp4DyWzWYKmaZGUmHhefWXA4Pa+Ob4t4qG0lOM5CC+21Bq6DxcplEMOSyc7fscdz2D4RyFD8UF3nkx0+fqps46MTr0F6+L93ApWWeA8PxmsOJunNfFpgR9PHYMeCVxju28ebbzcDWp08y4u5kKPqlukYMVJ+ZXRkb/CvG19wf5MapHEEssG7UKOubZU/wigHMm6x8/39R6NKzSqXZA== nSvZoqxgHipT88kt4fm8aXHaAY3XBjwA/8z6UE4NG4iManPiGBjJr2kJZMDLCGsCXZM7Y1GqcXx4jJVW+SxmwzIsPaYcB+Cs/eNMIToRfceFsV6I8J4NBMa22MIFYlw5aCnsUlE65TK5dHzKibKb5sdJPDet8RCC3CEMT/EXqd2eZ+Ysi0efizhMeCl9TOAsxDOVssZ6V/UXzZaqu17SJQ8ny6cHQoLTOTuiwRcu6gCpZVgrOY7tO6+UsCudv+CKL/27aE/WodS433ZpNJSvNGH2R9YiiTsCF94SIvETWbqpNWQgBBO/3E9qxiT5+H20V/4HrgeKGn6PNZLGB21KSizo+AMu6yybqf5GZob5cqbP/r8V7d/an3A6T4tsf8ngjZx3d9qF310TzC8qtB2n/6N1I+xPhFtvimDTh4A+tWr9+RkDNbabq3n/MemGdqqTFeLeTZg2nPiXi0JlTQRlDfos7UCKSiKJXwmjgxVxOAcucyURKjb526LHD5i4WBKBoT1S2BOWjDjJLRj34IGzv6Mi7337gagETYsQA8AbN/3UZNFECVCBKtkCW3roMzimlWUgU+hnEJ9Ekr32ziYgqwRNLJ+5A7QJuOEkT45j6TeFgQRTQ5Tje2YnyZ4TAdt6h8R+7FycA0dbO0u+/lf4VTq7MbJj2mYWzE25lxb0kOIYaxFSTP6j8R77t2px4gG+9XdUeFKcabkmmAfxcn22i6EvsUZFgvaZFZDhkavzh+BWJDilJlATUdEo+IFqpteO6/Ek34b2qJoPYXQNilZZXw6FsdN0Mn8wNxxuZeeiOj2w/hiW+x7w8slLQlKRpWZ7mikAkwhhHxbD9oPHCsN1Kgms/QuGFa1p/R+GtYwQfZMfK8AJs1lEgdpbdIFVIPC9Ira2eGLakdAVMAP4KqD8IYtf8nU3Lu9FkGat7u/pf7952TcDqcWFi14WOefn1gihaa6oDTgcjtFMY19mGUVDkt+gEogDTDrE24BmMIpHifIYbA/efc7EvNPRGB0UdzXlFYc8vEYp/DmHgfS11HOIMVjmv4z60LuXHLCQ9r5HZ9E= kbs8cUEArIzl90tKMNafbYHxVlWcZSPCSNHpyr79Ghet8cA3zN2g8pM9FKB7U4TQaxwCptcELlCLEqij9G39SnL+KuKO9adY8zD9IqZic8HGZd0xaAtW6TswGU5lqPr7QwLI7k6bdO4eE13xWhxhk3G6B50H48YzYcFoQNYnAUrpowUGmkKX6ZxMZI++JeEa8XD4ukkMJ6AruMTx5Dskd82aHnPrtqIc7Qz1HEsyv9TzyeHdh+64K7XmCYZ78xYbPiY1hLYZOq50t2m0CcYI9KZIH99/5T2CMXFmOFAcugpBYCM3jt2yz0cXbcYi1uJBpG0Up+56p4bEBgkGetxTCQ== Ug6i3lldBqk495UIG3GZJciiHhucHPpIqSficrYaV6wN7wS/cKWZrZFo1EPFnga9Ksa2+scrqQfki1bj/MFCcPOUXp68WrSBfjIznsmsn8ZUXf8EM2gh3DICZVH+Pe0nR4dC5loIH9zw3nG7RHNoBf6dK29KrwsHf8MHJ/rf1wLsTuM2QPGOxEUQ48Jx3Cd+nbnaq5A2Jo3p3AqYKBZVohWcKIYSKbPW5avkPM6+kAPOMB78vLffyzJlx88DIwnMRbzsgIi7JRdCQlzAzfkNGhJMB6F6qRecZkmyzav4C1UpYuorkB22uU96MVw8a/ZJ
0.05分

第五个油滴的半径:r=(1)μm

datafill 0.972 0VSxu/x0j9Yu+uXuJcLRps+I5VOkqgftHPDxm0zW0h/19mu+Whx2g2zs557T3L3T7334LEvV6LyVScHX+5YMTu3y7A9uJudL9gWe4GZZ2sfl4RIvv+eySArLTcF0Zohfq32Am9bwQ9bNBuM89yjpLCHJXherb3HH0lgfW205+PnbGdA1I31512dYcEi9heRwPTFSayVR+V9sgYd3ciWgJCgpI94Lp5M96feveAdjDlrRgoOUgGajMJxtFKbhXebcTnzHt1I64OF6RBEF7dHZsDk1bTiYCWOecnux48QpN6nSvBlEudIYI2cU8IMiMwtq nSvZoqxgHipT88kt4fm8aXHaAY3XBjwA/8z6UE4NG4iManPiGBjJr2kJZMDLCGsCXZM7Y1GqcXx4jJVW+Sxmw2bVjo5oBglysLVzNNXWy8LbGdi3O7PCJHauTlAKzLLQnkEJN6FOUOp4PN67+EvDvHXy1TR9odkH/btMEbUmDN1faO9bZ7shBkQ39W8R/WhEvYwka3cGQSRI5T0By1KETwwJ27PTQgtJVCCmw0ikvbV3Y8v9ODkF7G8J2gyxYDcPvKCn4jjH8r4q3dqsAmwvye78pxiSYXz+wS7DMzq3UGpxnJ5MwKaY7irFGXP7oiwXjTNftBJRl0N2Ar0UFMLesnwcCm8tWa1L2u862MB55mi99UNWw8vLurRhA6hYx8LWcykG/FmOEJLpxmGYOpqmRjLllA/A1HkuNQtpqVBnYZgfyqaeE2GsR/DPaWNOnDqph/ufFSN7BbCldoQxHYjjBlfXWai0oc/hLr2pHOXefdi4CNrKtcBRSIZJMM2Tj3hiYvrlb64y7TJIL2Fdzbs+AmFH6NDnhFxdsi8CekV1vKrRmUIr7Fu0xWW8EhpqkOgB+Oe8qxRlbfsQNNc+/0tUMDS5ukGajjSay3ZCYw9ZCC6cubWmdZFWK3GVd/lqQr2V8QmVQOyqKDuEc3zSuNUlwZOsa+M9ONOs3gZ0yJncpCwWnPQPBtoQtW1ZB7wi4FqqQnXplq3uzr17nXMFD16XVUqSCU3MJ0rDj2e2iq/JQuBKURWfI0nU1JRte9OQZVHwD8GzPcd5Hw02hwbb3c7K2nGyXY9o2DckjjqhorJGZYKXldfVcFivsqBnCE1xRpft kbs8cUEArIzl90tKMNafbYHxVlWcZSPCSNHpyr79Ghet8cA3zN2g8pM9FKB7U4TQaxwCptcELlCLEqij9G39SnL+KuKO9adY8zD9IqZic8HGZd0xaAtW6TswGU5lqPr7QwLI7k6bdO4eE13xWhxhk3G6B50H48YzYcFoQNYnAUrpowUGmkKX6ZxMZI++JeEa8XD4ukkMJ6AruMTx5Dskd82aHnPrtqIc7Qz1HEsyv9TzyeHdh+64K7XmCYZ78xYbPiY1hLYZOq50t2m0CcYI9D/Sd4FT3CJ1+l6oUnnCF3FTefqgp7s44geiNVkwVJBV85M3smY2sNgNC462Y0JcIK+N2jgCnZ5TkgZZRLFVx0E= Ug6i3lldBqk495UIG3GZJciiHhucHPpIqSficrYaV6wN7wS/cKWZrZFo1EPFnga9Ksa2+scrqQfki1bj/MFCcPOUXp68WrSBfjIznsmsn8ZUXf8EM2gh3DICZVH+Pe0nR4dC5loIH9zw3nG7RHNoBf6dK29KrwsHf8MHJ/rf1wLsTuM2QPGOxEUQ48Jx3Cd+nbnaq5A2Jo3p3AqYKBZVohKe67gtErX3XhZRVv/Qru0LxQ7aAJrdYFGNIelz1nBK
0.05分

第五个油滴的电荷量:{q}_{5}=(1)\times {10}^{-19}C

datafill 3.20 MjTc6Coiu920y1LYMpr+VVhwg0vEqt6byxk7D19zNBd1XmdrcAHbLNJQOYQYHn9UusJLfQEOgA/uAO3GB4WqpwfUggkRXOmr2XMxYtR2DBOz7q3PRijIpFRfQs1aVXSo8evVlBjaIPyHjIsYNpVwybm/P5t+i03Mj28UpvtWsVTUMzp88Hgmzd3F+wQBceTdPukPxqIqYchxf1AXgzhNyfqtcI6sAz9Y4dYh/xfGcy5JGnqIEjdvsQJDEu2ieW7Fjsgq1ozZFNvLFbKSyc135ytLWtkljH01f49KO0DpggBYwpxJKHOxyVZa+dmyn0FUeoeoObfQnddjA5hhgyVCjShDQJiJ+Xtl4bccsdr0tK1Gmv7PW2NaDUK4/2hlT7XmvRDSPle2FCH00tdP8y20lWVULnY3UxdJnrLkPbG0nHmOv2zvYAN4Zj7gE/PbVb5tZCt737av3REHdpLQjfC3NtlnMEC3DBLcAAnIKd4tqPitzKW8JitjJV5tJj100kUBygEL0cus9QZD0Z1E+TNpdQbeWZkicJGRGxinWRT6UCIxiFjSPQN69zsFAdj9hZJVfBCAuRfFrs6u9p14WPtzIaDHWN+DCZBSxVhEobhZ0UgrT55kgFMViTH3a3tmUEiXY9Y791k4ReH712h+sV9MfWBkZR9RJ+NcMNFUgQS4zPS23tVMcp1i+yRx98CmdI4EOP9ZZj6ANBhlccAXTa3Dww== nSvZoqxgHipT88kt4fm8aXHaAY3XBjwA/8z6UE4NG4iManPiGBjJr2kJZMDLCGsCXZM7Y1GqcXx4jJVW+SxmwzIsPaYcB+Cs/eNMIToRfceFsV6I8J4NBMa22MIFYlw5aCnsUlE65TK5dHzKibKb5sdJPDet8RCC3CEMT/EXqd2eZ+Ysi0efizhMeCl9TOAsxDOVssZ6V/UXzZaqu17SJQ8ny6cHQoLTOTuiwRcu6gCpZVgrOY7tO6+UsCudv+CKL/27aE/WodS433ZpNJSvNGH2R9YiiTsCF94SIvETWbrh0IzoG1GYkGbY++qGY1C73tJ5UBt7FWaHRmybOIr0wMD6PYczpuYXTD/mnmjd6U67/nvWduWmfuHdJb49wQzDwgVd1MX4ryvT1ByzXBsYFVJBtjLeKqKVnFuBYyi9VsaXrNaemtD7VemHRPpVa9UglGSonf6uwTXM2OrXWdpgN1REtozEB5iX9+3ksDhCm4gdmlO6Vnome/8rNAmIUGzrNKNlaKkth8dErqVco5EY8C7wY9l638+d70ETV1e/G+p01aoT3AyJKRNXoKy9ndEBg2WkITbaDdgeazrm2FQHO2PF+nCvkQq3lprQVi1VLgt3eW/LbpxdZruEdDaF+zhIKKb0M9l9rYrqZVM28qPkK4l7EonZtCfogSjCtFy6nTWcx1pWIeP+2qEVyGm2h8p+sWfyHeNHzcsnZaaUiBd0q2wtK8t+ZFGfPlSUNBfEZVlOXrRIXjhHh90cwQ+0lD/2RSTFsT128FVsqmHmHZkPkYc/gbEtxZ/wIHO5EG/IFHk1aZ6AH9pM5WPViQzNxoOzroy18v+4lgwGkFuKHtH4XLji95ReaxNuBV8gzy5KgKGgKdmsYeJLOFgmall247u3aTVA/YT860iRHV+luS2tMtdS5t3XAFBkvO/V2c7ldTxVDucQ1QSsHwq4NvQfNRxE kbs8cUEArIzl90tKMNafbYHxVlWcZSPCSNHpyr79Ghet8cA3zN2g8pM9FKB7U4TQaxwCptcELlCLEqij9G39SnL+KuKO9adY8zD9IqZic8HGZd0xaAtW6TswGU5lqPr7QwLI7k6bdO4eE13xWhxhk3G6B50H48YzYcFoQNYnAUrpowUGmkKX6ZxMZI++JeEa8XD4ukkMJ6AruMTx5Dskd82aHnPrtqIc7Qz1HEsyv9TzyeHdh+64K7XmCYZ78xYbPiY1hLYZOq50t2m0CcYI9GpxXPPfL7ZcBOjI+b3g3IK2h5i/XuVAcFSVdNEGvt4L6t4Q1awD7dPslQtU3EYsrIR3BbSCV//2KET6GtWNzuE= Ug6i3lldBqk495UIG3GZJciiHhucHPpIqSficrYaV6wN7wS/cKWZrZFo1EPFnga9Ksa2+scrqQfki1bj/MFCcPOUXp68WrSBfjIznsmsn8ZUXf8EM2gh3DICZVH+Pe0nR4dC5loIH9zw3nG7RHNoBf6dK29KrwsHf8MHJ/rf1wLsTuM2QPGOxEUQ48Jx3Cd+nbnaq5A2Jo3p3AqYKBZVohKe67gtErX3XhZRVv/Qru0LxQ7aAJrdYFGNIelz1nBK
0.05分

第五个油滴的元电荷数:{n}_{5}=(1)

datafill 2 0VSxu/x0j9Yu+uXuJcLRps+I5VOkqgftHPDxm0zW0h+tlxEO1FyjOlFOqsENR6WU+9NTE/QXOFjd03vt+PbhQbaeQhreJ4sBblQrTvGgws69HVIGkGGv1mxdN/SjaB92uBWwc185bmMlpXe0HPhHAo0k5aLNWXziuks4cNHaS52BUbH8BL6GVGDNCKPA+PcN nSvZoqxgHipT88kt4fm8aXHaAY3XBjwA/8z6UE4NG4iManPiGBjJr2kJZMDLCGsCXZM7Y1GqcXx4jJVW+Sxmwwemh3JBBaxQlXXZsE5rXTirUYu38CHs3BwoYXIZx6W3o8UZTphAKzoZyB3pJS51sSyiZQy70ojJUaNjod8nHml1oBUIOIA6n18ye1ouD2/QdcA1wU9Mi5DLThUT8ipZfDAMXNNUqnt+2lXTb/jDreZHfZhcw0pOAtxuIim+mqHvONzKqqE5zKpgLSTrjV/pqKRNtPNuYkyRwGVWmPKaaP5f5CF/W7g1MJtmSyEZtkGcc3XNT94jgr6Xg0VMAwp1GmcqrgdTOE7+sLNEyx1APFe1iBMvQlSnKbHgloxnD7oc6bGicqMVADx02erIIMOxxUlT/+XT6LI/0lsjyWc7BDrqtwokBk+hheKiTRm8GppL9mhBlVGp3oTd7XfOgU0SAm/EQdDYJlfE3lYsQMMYgPI= kbs8cUEArIzl90tKMNafbYHxVlWcZSPCSNHpyr79Ghet8cA3zN2g8pM9FKB7U4TQaxwCptcELlCLEqij9G39SnL+KuKO9adY8zD9IqZic8HGZd0xaAtW6TswGU5lqPr7QwLI7k6bdO4eE13xWhxhk3G6B50H48YzYcFoQNYnAUrpowUGmkKX6ZxMZI++JeEa9/ku8zzdxHlgivPCb4k6e2bf2M+CQTF4Q4x8fvlGaqbfShbo0/UxmXnwFfeZPNAYBGpCgJ7kLJgSNJoTyNFBxebOGiL244LkNPPAmCNx3Tg2tabfvdBulHlpuSb5EmQc Ug6i3lldBqk495UIG3GZJciiHhucHPpIqSficrYaV6wN7wS/cKWZrZFo1EPFnga9Ksa2+scrqQfki1bj/MFCcNMThYaHFINaq6DFQDspAYgrDqefKkA2X2CCmQOd5zF+UdYg35HUy9X6QUIsIm6v2aMLLBNNNALVLdpv7+cwsPs=

3.元电荷拟合

油滴 1 2 3 4 5
油滴电荷qi(×10-19C)          
元电荷数ni          
table 3.20 4.81 6.41 8.01 9.61 2 3 4 5 6 HLLIPGEigCS9uQcpleVWHQ== HLLIPGEigCS9uQcpleVWHQ== HLLIPGEigCS9uQcpleVWHQ== HLLIPGEigCS9uQcpleVWHQ==
0.1分

绘制元电荷e值拟合直线图

0.05分

直线斜率:b=(1)\times {10}^{-19}C

datafill 1.602 TtDFN7j8gKdJw6ZT+oEdw1gfMMroFOwaQUgIyTNHmQrujA4Ri/RHGrWz7gUBTteYtBtv0vFvCogXZ4770pvVYXdPj8+Stj78EboKIfvnOfyNOKAwOd94xN2POp1Gi/Ig4hLY/innV4rmw/Sbqmph1kT6sZEru8KI0K4H2YFOgxmdjxdZyhV+JxyHnHmkWNk5KOHF/L7msRUOhgMdc0rguo2id36cEKJWNymhZgzQBZtsKIqgvPisrfMaghVSO1LMBegMBz6UnFK+vpBx34veiLLv0za30oxkg8zxc+CdOuci5SxThPPdLFSCYI0kgE/pYY1yswH1pPW7Rm9iP9U0vwqe9Pdd5UiXMteXRh7ZJz0Zxvlqh0jTtkTuRYdoknkSr0JIyCboh+SOVezXi51WzMpXeuOYN6bU7OzDIlQ4JpizBFScb80NjD5j6Dy3aQp5JmeCBZfPq/m85Y/e5Ze0QmH4OxRE2JOWK1rbo8TODKEoT5UClCrCfvECgmn7+uq8iSiUIWlhBMratGfqEe311agkfelw+XCr+w57paa8jd9FORGMRHa4kvlaFvb16X3+ nSvZoqxgHipT88kt4fm8aXHaAY3XBjwA/8z6UE4NG4iManPiGBjJr2kJZMDLCGsCXZM7Y1GqcXx4jJVW+Sxmw2bVjo5oBglysLVzNNXWy8LbGdi3O7PCJHauTlAKzLLQnkEJN6FOUOp4PN67+EvDvCsZhu4NTxJrARthOUDnIBje6HFNSeshr2ermmEHUAi9vMboiyCnx/0r9eTBjbH3k4rBbIOWRKHbe+hKq+jMQr17q0D/cSQ9nzPh3cWMBpNkkprpzB7UMrabYzBKJzH5KqgtRMbsqeXSpVlh1HPbObzCOgPAj+qgulX7JKdWPXZX kbs8cUEArIzl90tKMNafbYHxVlWcZSPCSNHpyr79Ghet8cA3zN2g8pM9FKB7U4TQaxwCptcELlCLEqij9G39SnL+KuKO9adY8zD9IqZic8HGZd0xaAtW6TswGU5lqPr7QwLI7k6bdO4eE13xWhxhk3G6B50H48YzYcFoQNYnAUrpowUGmkKX6ZxMZI++JeEa8XD4ukkMJ6AruMTx5Dskd8C4fa4uSjtVvX3Tb5ule/NHdltcdjfYhzrOGpC601nEAIYxxZzsPeZ/+kGM/O3B1g== Ug6i3lldBqk495UIG3GZJciiHhucHPpIqSficrYaV6wN7wS/cKWZrZFo1EPFnga9cDpWr5qLTltLfNCIG6wa1E09SyWpzZwqqT4VwRMSsPg=
0.05分

本实验计算得到的元电荷:e=(1)\times {10}^{-19}C

datafill 1.602 76Lfn5KcfMsfuZRf1mee6kYOYzq01jhRuesziKvqnuxZYC7vog72Us4b8fBD1cxYLrX/GVLBqqPm7fGJPszmzJAN1yVYzjHdPj+QxvDgeSizSsjEz8MEGqNhd37gVA3GgVLPfV9Z9rg57QDGsXEBvpw6Ur2AxVivafV/MpTmErQ= nSvZoqxgHipT88kt4fm8aXHaAY3XBjwA/8z6UE4NG4iManPiGBjJr2kJZMDLCGsCXZM7Y1GqcXx4jJVW+Sxmw2bVjo5oBglysLVzNNXWy8LbGdi3O7PCJHauTlAKzLLQnkEJN6FOUOp4PN67+EvDvCsZhu4NTxJrARthOUDnIBhx4JelwX6zLyIDVwijNg86DOKVY+dZI8wizV8OkCEYhCbKAwrZZKR4I4Vj8z+sl34qjKJHxt5Gwy5E6XyHhlHU8NMvBu9FpSkDL0GZR3NQ18MKO1nSmiNk1xU6uEcqJLvnVwERdHjsAXEtjKgXwEXu kbs8cUEArIzl90tKMNafbYHxVlWcZSPCSNHpyr79Ghet8cA3zN2g8pM9FKB7U4TQaxwCptcELlCLEqij9G39SnL+KuKO9adY8zD9IqZic8HGZd0xaAtW6TswGU5lqPr7QwLI7k6bdO4eE13xWhxhk3G6B50H48YzYcFoQNYnAUrpowUGmkKX6ZxMZI++JeEa8XD4ukkMJ6AruMTx5Dskd8C4fa4uSjtVvX3Tb5ule/NHdltcdjfYhzrOGpC601nEAIYxxZzsPeZ/+kGM/O3B1g== Ug6i3lldBqk495UIG3GZJciiHhucHPpIqSficrYaV6wN7wS/cKWZrZFo1EPFnga9cDpWr5qLTltLfNCIG6wa1E09SyWpzZwqqT4VwRMSsPg=
0.05分

元电荷实验测量值与公认值比的百分差:|E|=(1)%

datafill 0 0VSxu/x0j9Yu+uXuJcLRps+I5VOkqgftHPDxm0zW0h/jgFGhI8oJME4fYOpKndk+RIzIWMIAOMnlTUCSNZZrpZcEG9KH0BA4RMTjIZSffcef631GGlMn2T8I/4wOfkwcIIFf5Qz2Z7lXYnQdxFCI1+RMODH1OrNojhald/lNf/Esf0va0kEktU/iwqaaxgjfnwtyrU6h4k4Pd9auhflSyg== nSvZoqxgHipT88kt4fm8aXHaAY3XBjwA/8z6UE4NG4iManPiGBjJr2kJZMDLCGsCXZM7Y1GqcXx4jJVW+SxmwzIsPaYcB+Cs/eNMIToRfceFsV6I8J4NBMa22MIFYlw5aCnsUlE65TK5dHzKibKb5hGGFSiuKn7/7tBvdyy/kCU0gaHdpsBY+nhp7PM0iRTp112kKbYr8U0U4O5SGxi0yUJHnbuJBV6mClX3Dls8h3y5eX61/kzQfyaHHidYXrjomY/LqbFD5zp7TQ2T6IeUgt+4P7AAimS+IRc/5qDbwwK+yJKdxgS2YzD7nlnKovGoYkDCe78FHSrWTzsWiVaX5inUW+9SRF93ZmT9Dy7fnyMWAzqzD3lwxx290Awag7YOWhgrTFTt2To4+IA+CsQarzwOinq8d7NU0tN1kon8TvU88YY6mWDsfysZCCFrvPxiWxfOCqyMJ9eDziJWsQi9QGMDTeB7iR+QRiO6xenU6tLG3TKi8MTgEXnbirP5c7ihCq+8CV3xU/VaaJjhkLnxYSX1Mbv8BxfOP/FbURaTF5YAMjMqUaCTI2cylOs5ED4rydZv+XdCEG726rg8NKqGqFV9JWQRdRPaq1F3l8mlrDGMJjVTkcSVS8JBWvhpxCXgNdFcFMSEBS8i/Gn7PSpTL4Y2miifyRSu4po2VEPC3yYIu/5SiSsAskrfFcPNHeYiQFTT6YXK3rt6n6yAHGcLUTQwlK/ztLyqHo92co2RJzPsSylufdHe0qzKRAfl6GhniGJb0Dv98BYUHDC48KNJiP/0mTSKFUQYR9nxCmTH24EtGJ1Kp+93hOK32gKpnTL0tC7EEn73nHYoqQvfFh7zLUwVFdHILShJ7RglBmlEJm5L7pISLrOdVxJm02y0lWsAdMLhyan0MLPdGs0oa+/aouYUcyNL8V37vGkt5WBND5eZpxSGtl+kJl5qlZTeW2uAG1fB3UuAE9qh4dhkaGfWfehXUSSKjJrjZ76ku4s9ggcgjP095bAJus6cFw16vWJH kbs8cUEArIzl90tKMNafbYHxVlWcZSPCSNHpyr79Ghet8cA3zN2g8pM9FKB7U4TQaxwCptcELlCLEqij9G39SnL+KuKO9adY8zD9IqZic8HGZd0xaAtW6TswGU5lqPr7QwLI7k6bdO4eE13xWhxhk3G6B50H48YzYcFoQNYnAUrpowUGmkKX6ZxMZI++JeEa8XD4ukkMJ6AruMTx5Dskd82aHnPrtqIc7Qz1HEsyv9SGNY73Fy8eaUfEARPPWUTd7ZcaC/Jj0c9zEDw0CiWM/oGytX6ia897fHU4QkJODf93RY2cJSYTdyGBaz0TiIE/3fjkY7baRqZFfDds/JLcPUwj6G05kp+lK9NH3IEntBqErAnh13au4KHdxzGgO9qJ Ug6i3lldBqk495UIG3GZJciiHhucHPpIqSficrYaV6wN7wS/cKWZrZFo1EPFnga9Ksa2+scrqQfki1bj/MFCcPOUXp68WrSBfjIznsmsn8ZUXf8EM2gh3DICZVH+Pe0nR4dC5loIH9zw3nG7RHNoBf6dK29KrwsHf8MHJ/rf1wLsTuM2QPGOxEUQ48Jx3Cd+nbnaq5A2Jo3p3AqYKBZVohKe67gtErX3XhZRVv/Qru0LxQ7aAJrdYFGNIelz1nBK

分析讨论与结论

0.2分

分析讨论

0.1分

结论

原始数据

数据处理过程

0.3分